Campo gravitatorio

Description

Por Ramón García Crespo
ramongc2009
Mind Map by ramongc2009, updated more than 1 year ago
ramongc2009
Created by ramongc2009 about 10 years ago
55
0

Resource summary

Campo gravitatorio
  1. Dinámica del movimiento curvilíneo
    1. Magnitudes que lo definen
      1. Componentes intrínsecas de la aceleración
        1. Aceleración tangencial
          1. Aceleración normal
          2. Fuerzas centrales
            1. Están dirigidas hacia un centro de atracción o polo
              1. Su módulo solo depende de la distancia a dicho polo
              2. Momento de una fuerza
                1. Momento angular
                  1. Teorema del momento angular
                    1. La variación del momento angular de una partícula con respecto a un punto es igual al momento resultante de las fuerzas que actúan sobre la partícula con respecto a dicho punto
                2. Leyes de Kepler
                  1. 1. Ley de las órbitas
                    1. Todos los planetas describen órbitas elípticas y el Sol se sitúa en uno de sus focos
                    2. 2. Ley de las áreas
                      1. Los vectores de posición que definen la posición de los planetas barren áreas iguales en tiempos iguales
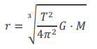
                      2. 3. Ley de los periodos
                        1. Los cuadrados de los periodos son directamente proporcionales a los cubos de sus distancias medias al Sol o semiejes mayores de las elipses
                      3. Leyes de la dinámica
                        1. 1. Ley de la inercia
                          1. Un cuerpo que no está sometido a fuerzas permanece en reposo o se mueve con un M.R.U.
                          2. 2. Ley fundamental de la dinámica
                            1. La aceleración que experimenta un cuerpo es proporcional a la suma de las fuerzas aplicadas sobre el cuerpo e inversamente proporcional a la masa de dicho cuerpo
                            2. 3. Ley de acción y reacción
                              1. La fuerza de acción de un cuerpo sobre otro es igual y contraria a la fuerza de reacción del segundo sobre el primero
                              2. 4. Ley de gravitación universal
                                1. La fuerza de atracción entre dos cuerpos es proporcional al producto de sus masas e inversamente proporcional al cuadrado de la distancia entre ellos
                                  1. Concepto de campo gravitatorio
                                    1. En una región del espacio existe un campo creado por una magnitud física si es posible asignar en cada instante un valor a dicha magnitud para todos los puntos de dicha región
                                        1. Líneas de campo
                                          1. Representación gráfica del campo gravitatorio
                                            1. Principio de superposición
                                                1. La interacción de un conjunto de masas sobre otra masas equivale a la suma vectorial de la interacción que producirían cada una de ellas por separado
                                              1. Carácter conservativo del campo gravitatorio
                                                1. Un campo es conservativo cuando el trabajo realizado por dicha fuerza es independiente del camino elegido para moverse de un punto a otro
                                                    1. Energía potencial
                                                        1. Para puntos próximos a la superficie terrestre
                                                        2. Potencial gravitatorio
                                                          1. Ep que adquiriría la unidad de masa colocada en dicho punto
                                                          2. Consecuencias de la interacción gravitatoria en el campo gravitatorio terrestre
                                                            1. Campo gravitatorio terrestre
                                                              1. Superficie
                                                                1. Interior
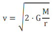
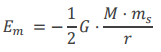
                                                                2. Movimiento de un satélite en torno a la Tierra
                                                                  1. Energía orbital
                                                                    1. Velocidad orbital
                                                                      1. Energía de cambio de órbita
                                                                        1. Altura de un satélite estacionario
                                                                          1. Velocidad de escape de un cohete
                                                                        Show full summary Hide full summary

                                                                        Similar

                                                                        Diferencias entre la Química y Física
                                                                        maya velasquez
                                                                        Física: Conceptos Básicos
                                                                        maya velasquez
                                                                        INTRODUCCIÓN A LA FÍSICA
                                                                        moises silva daza
                                                                        CUESTIONARIO DE FÍSICA
                                                                        amam3105
                                                                        Pilas y electrolisis - Repaso para Selectividad
                                                                        Diego Santos
                                                                        Símbolos y Abreviaciones para tomar apuntes
                                                                        Diego Santos
                                                                        Fundamentos Básicos de la electricidad
                                                                        SC IDEA
                                                                        CAPACIDADES CONDICIONALES O CAPACIDADES FÍSICAS BÁSICAS
                                                                        Delia Marín
                                                                        Electrotecnia Básica
                                                                        Felipe Soto
                                                                        INSTRUMENTOS PARA MEDIR VARIABLES
                                                                        Alexandra Donoso
                                                                        Test Luces de Bohemia
                                                                        santanaannamaria