null
US
Sign In
Sign Up for Free
Sign Up
We have detected that Javascript is not enabled in your browser. The dynamic nature of our site means that Javascript must be enabled to function properly. Please read our
terms and conditions
for more information.
Next up
Copy and Edit
You need to log in to complete this action!
Register for Free
499451
Máquina de Moore
Description
Eletrônica Digital (Contadores síncronos) Mind Map on Máquina de Moore, created by victorguimaraesd on 22/01/2014.
No tags specified
contadores síncronos
eletrônica digital
eletrônica digital
contadores síncronos
Mind Map by
victorguimaraesd
, updated more than 1 year ago
More
Less
Created by
victorguimaraesd
almost 12 years ago
30
0
0
Resource summary
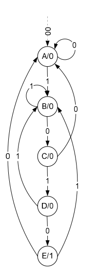
Máquina de Moore
Nos circuitos de Moore, o estado das saídas não depende do estado actual das entradas; apenas depende das variáveis de estado.
Diagrama de estado:
Media attachments
Screenshot_from_2014-01-22_11_44_26 (image/png)
Screenshot_from_2014-01-22_11_45_57 (image/png)
Screenshot_from_2014-01-23_14_39_03 (image/png)
Screenshot_from_2014-01-23_14_39_14 (image/png)
Screenshot_from_2014-01-23_14_39_42 (image/png)
Screenshot_from_2014-01-23_14_39_50 (image/png)
Screenshot_from_2014-01-23_14_40_00 (image/png)
Show full summary
Hide full summary
Want to create your own
Mind Maps
for
free
with GoConqr?
Learn more
.
Similar
Contadores síncronos
victorguimaraesd
Máquina de Mealy
victorguimaraesd
Eletrônica Digital
Roberto Frossard
Algebra booleana
victorguimaraesd
Contadores Assíncronos
victorguimaraesd
Mapa K
victorguimaraesd
Sistemas de Numeração
victorguimaraesd
Flip-Flops
victorguimaraesd
Eletrônica Digital (Conversões numéricas)
Amanda Coradini
Eletrônica Digital
Wellington Diniz
Sistemas de Numeração - Aulas 2 e 3
Guilherme Mello
Browse Library