null
US
Sign In
Sign Up for Free
Sign Up
We have detected that Javascript is not enabled in your browser. The dynamic nature of our site means that Javascript must be enabled to function properly. Please read our
terms and conditions
for more information.
Next up
Copy and Edit
You need to log in to complete this action!
Register for Free
5235472
reglas para calcular probabilidades
Description
Actividad 1.1 de Estadística, Ignacio Torres, UTE
No tags specified
probabilidad
reglas para calcular probabilidades
propiedades de suma y multiplicación de probabilidades
matemática
Mind Map by
Ignacio Torres Romero
, updated more than 1 year ago
More
Less
Created by
Ignacio Torres Romero
over 9 years ago
4790
0
0
Resource summary
reglas para calcular probabilidades
Reglas de la adición
regla especial de la adición
los eventos deben ser mutuamente excluyentes.
Regla del complemento
Regla general de la adición
PROBABILIDAD CONJUNTA
Probabilidad que mide la posibilidad de que dos o más eventos sucedan simultáneamente.
reglas de la multiplicación
Regla especial de la multiplicación
Si un evento ocurre, no tiene ningún efecto sobre la probabilidad de que otro evento acontezca.
Regla general de la multiplicación
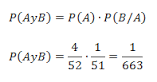
PROBABILIDAD CONDICIONAL Probabilidad de que un evento en particular ocurra, dado que otro evento haya acontecido.
Media attachments
a6a75afd-d4d6-4467-a43c-3ce623ff465f (image/png)
e223e9d9-80b2-4dc4-a759-d70d8ddafbf8 (image/jpg)
38ea8878-39b7-4e19-ade0-724b136a1197 (image/png)
db1a5b60-9fbb-44d0-9be4-74cd2b8f640e (image/png)
8126986f-e82e-40ba-bf6d-6656ef9f5ba2 (image/png)
Show full summary
Hide full summary
Want to create your own
Mind Maps
for
free
with GoConqr?
Learn more
.
Similar
METODOS PROBABILISTICOS
duvan heavy
PROBABILIDAD CONDICIONAL
jeslin.guevara
MUESTREO Y DISTRIBUCIONES MUESTRALES
Yumary Lima Ruiz
Conceptos de estadística y probabilidad
Diego Santos
PROBABILIDAD
muttyxion
Mapa Conceptual de Probabilidad
robinson conde
Distribuciones de Probabilidad
Ender Diaz
Regresión lineal y correlación
Ignacio Torres Romero
FASE 1 AXIOMAS DE PROBABILIDAD
Julian Vargas
Prueba de Hipótesis
Ignacio Torres Romero
Intervalos de confianza
Ignacio Torres Romero
Browse Library