Intervalos de confianza

Description

Realizado por Ignacio Torres, Tarea de Estadística UTE
Ignacio Torres Romero
Mind Map by Ignacio Torres Romero, updated more than 1 year ago
Ignacio Torres Romero
Created by Ignacio Torres Romero over 9 years ago
427
0

Resource summary

Intervalos de confianza
  1. de una media
    1. ESTIMADOR PUNTUAL
      1. Estadístico calculado a partir de información de la muestra para estimar el parámetro poblacional.
        1. la media muestral es el estimador puntual de la media poblacional
      2. de una media poblacional
        1. INTERVALO DE CONFIANZA
          1. Conjunto de valores que se forma a partir de una muestra de datos de forma que exista la posibilidad de que el parámetro poblacional ocurra dentro de dicho conjunto con una probabilidad específica.
            1. La probabilidad específica recibe el nombre de nivel de confianza.
              1. para el cálculo se puede:
                1. conocer la desviación estandar de la muestra
                  1. error estandar de la media
                    1. desconocer la desviación estandar de la muestra
          2. de una proporción
            1. PROPORCIÓN
              1. Fracción, razón o porcentaje que indica la parte de la muestra de la población que posee un rasgo de interés particular
                  1. condiciones para el intervalo de confianza
                    1. Los datos de la muestra son resultado de conteos
                      1. Sólo hay dos posibles resultados
                        1. La probabilidad de un éxito permanece igual de una prueba a la siguiente
                          1. Las pruebas son independientes
                  2. elección del tamaño de la muestra
                    1. dependerá de:
                      1. 1. El margen de error que tolerará el investigador. 2. El nivel de confianza deseado. 3. La variabilidad o dispersión de la población que se estudia.
                        1. Tamaño de la muestra para calcular una media poblacional
                      2. para una proporción
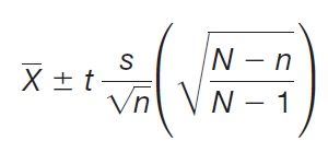
                      3. Factor de correlación de una población finita
                        1. para determinar el intervalo de confianza de la media, se ajusta el error estándar de la media
                        Show full summary Hide full summary

                        Similar

                        METODOS PROBABILISTICOS
                        duvan heavy
                        PROBABILIDAD CONDICIONAL
                        jeslin.guevara
                        MUESTREO Y DISTRIBUCIONES MUESTRALES
                        Yumary Lima Ruiz
                        Conceptos de estadística y probabilidad
                        Diego Santos
                        PROBABILIDAD
                        muttyxion
                        Mapa Conceptual de Probabilidad
                        robinson conde
                        Distribuciones de Probabilidad
                        Ender Diaz
                        reglas para calcular probabilidades
                        Ignacio Torres Romero
                        Regresión lineal y correlación
                        Ignacio Torres Romero
                        FASE 1 AXIOMAS DE PROBABILIDAD
                        Julian Vargas
                        Mapa Conceptual Intervalos de Confianza
                        Johana Rojas Bohórquez