Física moderna: Física cuántica

Description

Mind Map on Física moderna: Física cuántica, created by DianaArias on 12/05/2014.
DianaArias
Mind Map by DianaArias, updated more than 1 year ago
DianaArias
Created by DianaArias over 11 years ago
1953
27

Resource summary

Física moderna: Física cuántica
  1. CONTEXTO
    1. Se han formulado varias teorías sobre la naturaleza de la luz
      1. Ondulatoria de Huygens
        1. Corpuscular de Newton
          1. Electromagnética de Maxwell
            1. Luz como onda formada por un campo eléctrico y uno magnético perpendiculares entre sí
            2. Ninguna explica todos los fenómenos causados por la luz, son refutadas por experimentos como:
              1. Radiación del cuerpo negro de Max Planck
                1. Efecto Fotoeléctrico
                  1. Efecto Compton
              2. TEORÍA CORPUSCULAR DE LA LUZ
                1. La energía de la luz no se distribuye de forma uniforme por el frente de onda, opuesto a lo que afirmaba la teoría ondulatoria antes de experimentar con el efecto fotoeléctrico
                  1. La energía se halla cuantificada, concentrada en regiones llamadas cuantos de luz o FOTONES
                    1. Los fotones son corpúsculos que llevan asociada una energía proporcional a su frecuencia
                  2. TEORÍA CUÁNTICA DE PLANCK
                    1. En EQUILIBRIO TÉRMINO el balance energético total es nulo, pues se emite y absorbe la misma cantidad de energía
                      1. Se puede medir por medio de la EXITANCIA: energía emitida por unidad de tiempo y por unidad de superficie del cuerpo
                        1. Dependerá de la temperatura, naturaleza y estado de la superficie del cuerpo y longitud de onda
                        2. CUERPO NEGRO: Capaz de absorber toda la radiación que incida sobre él sin reflejar nada
                          1. Constituye el patrón elegido para el estudio de la radiación de los cuerpos, que desembocará en dos leyes:
                            1. Ley de Stefan-Boltzmann
                              1. Ley de Wien
                          2. EFECTO FOTOELÉCTRICO
                            1. Cuando un fotón incide sobre un metal, es absorbido y su energía pasa a uno de los electrones del metal, que escapa si la energía del fotón que ha incidido supera un valor umbral (E0)
                              1. El valor umbral depende de cada metal, y también es llamada trabajo de extracción
                            2. EFECTO COMPTON
                              1. Cuando un fotón incide sobre un electrón libre, el fotón sufre una desviación por la que se mueve con una mayor energía que la inicial y el electrón sale con una velocidad determinada
                              2. DUALIDAD ONDA-CORPÚSCULO
                                1. Toda partícula de una masa determinada que se mueve a una velocidad lleva asociada una onda
                                2. MODELO ATÓMICO DE BOHR
                                  1. Basado en el modelo atómico de Rutherford en el que el electrón gira en órbitas circulares
                                    1. Postulados
                                      1. 1. El átomo de hidrógeno tiene un núcleo positivo en torno al cual gira un electrón que sólo tiene ciertas órbitas permitidas
                                        1. 2. Mientras permanece en una órbita el electrón no intercambia energía con el medio
                                          1. 3. Cuando pasa de una órbita a otra emite o absorbe energía en forma de fotones con una frecuencia determinada
                                            1. 4.Las únicas órbitas estables son en las que el momento angular del electrón respecto del núcleo cumple:
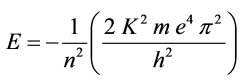
                                            2. Energía del electrón en la órbita
                                            3. PRINCIPIO DE INDETERMINACIÓN DE HEISENBERG
                                              1. Es imposible determinar simultáneamente la posición y cantidad de movimiento exactas del electrón, por tanto es imposible determinar su trayectoria
                                              2. MODELO MECANOCUÁNTICO DEL ÁTOMO
                                                1. Introduce el concepto de ORBITAL: Zona del espacio que rodea al núcleo donde existe la máxima posibilidad de encontrar al electrón
                                                Show full summary Hide full summary

                                                Similar

                                                Física: Conceptos Básicos
                                                maya velasquez
                                                Diferencias entre la Química y Física
                                                maya velasquez
                                                INTRODUCCIÓN A LA FÍSICA
                                                moises silva daza
                                                CUESTIONARIO DE FÍSICA
                                                amam3105
                                                Pilas y electrolisis - Repaso para Selectividad
                                                Diego Santos
                                                Fundamentos Básicos de la electricidad
                                                SC IDEA
                                                CAPACIDADES CONDICIONALES O CAPACIDADES FÍSICAS BÁSICAS
                                                Delia Marín
                                                Electrotecnia Básica
                                                Felipe Soto
                                                INSTRUMENTOS PARA MEDIR VARIABLES
                                                Alexandra Donoso
                                                CUESTIONARIO DE FISICA MRU
                                                Ricardo Miño
                                                PRINCIPIO DE PASCAL
                                                Katharine Poloche