Sumas de Riemann

Description

Mapa mental. Qué son y para qué se usan las sumatorias de Riemann, así como sus principales propiedades.
Miguel Reyes
Mind Map by Miguel Reyes, updated more than 1 year ago
Miguel Reyes
Created by Miguel Reyes almost 9 years ago
3319
0

Resource summary

Sumas de Riemann
  1. Consiste en trazar un número finito de rectángulos dentro de un área irregular, calcular el área de cada uno de ellos y sumarlos
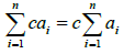
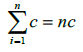
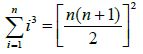
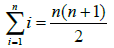
    1. Identidades y reglas sencillas para trabajar con sumatorias
      1. A la suma que está mostrada en la parte derecha de la definición de integral definida:
        1. Se le conoce con el nombre de suma de Riemann.
          1. Esta sumatoria representa la suma de áreas de los rectángulos de aproximación. La gráfica muestra la representación geométrica de la suma de Riemann de la función f (x) .
            1. Georg Friedrich Bernhard Riemann (Breselenz, Alemania, 17 de septiembre de 1826 - Verbania, Italia, 20 de julio de 1866) fue un matemático alemán que realizó contribuciones muy importantes al análisis y la geometría diferencial, algunas de las cuales allanaron el camino para el desarrollo más avanzado de la relatividad general. Su nombre está conectado con la función zeta, la hipótesis de Riemann, la integral de Riemann, el lema de Riemann, las variedades de Riemann, las superficies de Riemann y la geometría de Riemann.
              Show full summary Hide full summary

              Similar

              FUNCIONES MULTIVARIABLES
              Jarumy cecilia Sánchez Hernández
              Diapositivas de Topología de Redes
              lisi_98
              Fase 5. Evaluar. Sustentar el diseño de modelo de propagación. MAPA DE RFID
              Miller Suárez López
              Prueba de Integrales
              José William Montes Ocampo
              TEORIA DESCRIPCION DE LA FORMA
              Stiven Ramirez
              Construcción de software
              CRHISTIAN SUAREZ
              Proceso de Simulación
              Jesus Javier
              Ingenieria Social
              Diego Gutierrez
              Dibujo de ingeniería
              Felipe Granada
              Competencias Laborales de un Ingeniero en Diseño de Entretenimiento Digital
              Daniel Giraldo
              Modelos de Gestión de Inventarios en Cadenas de Abastecimiento
              Rubén Darío Martínez Lira