null
US
Sign In
Sign Up for Free
Sign Up
We have detected that Javascript is not enabled in your browser. The dynamic nature of our site means that Javascript must be enabled to function properly. Please read our
terms and conditions
for more information.
Next up
Copy and Edit
You need to log in to complete this action!
Register for Free
4444160
Prueba de Integrales
Description
Prueba corta para repasar temas del curso de Cálculo Integral.
No tags specified
prueba
matematicas
integrales
calculo
impropias
matemáticas 3
evaluaciones
pruebas
Quiz by
José William Montes Ocampo
, updated more than 1 year ago
More
Less
Created by
José William Montes Ocampo
almost 10 years ago
5537
14
0
Resource summary
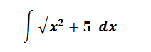
Question 1
Question
Diga si la integral de la figura corresponde a una integral impropia?
Image:
ba64b5ef-6eb1-4122-a6da-fe189a0703a1 (image/png)
Answer
True
False
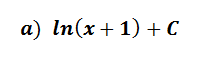
Question 2
Question
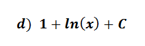
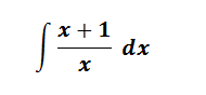
Al resolver la integral de la figura dada, se obtiene:
Image:
a2f5dd2a-5982-4f81-937e-89b62f97dbc1 (image/png)
Answer
Image:
64b7197a-cc86-4823-b819-11ee19039257 (image/png)
Image:
a1f6a8f1-f6b0-4b40-a2bd-a0ec0d38495f (image/png)
Image:
bade1297-99a3-48c3-b6ae-97e7d70990de (image/png)
Image:
e4d73580-ae04-469b-ae3e-f6620a9f65ff (image/png)
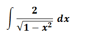
Question 3
Question
Al resolver la integral de la figura dada, el resultado es:
Image:
35fff3d7-1c5e-4ac0-8994-c9b5ce7208b1 (image/png)
Answer
Image:
1a0535d4-a1c8-4f84-a55f-13a5dfcf3697 (image/png)
Image:
224e5239-c408-4c74-a082-def3e721dd90 (image/png)
Image:
cd4b7d5c-ae15-4eab-ae59-f03d24808073 (image/png)
Image:
ef77c8a0-298a-42a4-9a0d-b94e5c021ea1 (image/png)
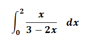
Question 4
Question
Para la integral de la figura dada, la sustitución trigonométrica adecuada es:
Image:
3c2f8d8f-4ddf-442d-9041-e6aae28113db (image/png)
Answer
Image:
e28151ad-af49-4311-a34f-6676a1ea772f (image/png)
Image:
7c69b8d0-8fd0-4aec-9dd4-f89def30ccf0 (image/png)
Image:
6523d4b0-27cf-4c38-afbb-d1534482f4be (image/png)
Image:
0ce325b4-a306-45dd-8859-40990c222ac8 (image/png)
Question 5
Question
Para determinar el área de la región sombreada, cuantas integrales se deben plantear?
Image:
062a742f-5026-4bac-904c-e5788be8f1cf (image/png)
Answer
UNA
DOS
TRES
CUATRO
Show full summary
Hide full summary
Want to create your own
Quizzes
for
free
with GoConqr?
Learn more
.
Similar
LEY DE SIGNOS, LEYES DE LOS EXPONENTES, JERARQUÍA DE OPERACIONES Y PROPIEDADES DE LAS FRACCIONES
José Carlos Rodríguez Mejía
Prueba de la Recta y la Circunferencia
José William Montes Ocampo
Conceptos y Algoritmos del Cálculo Diferencial
Valeria Díaz2827
Quiz de Matematicas
Juanc480
Tipos de funciones
Toni Zavala
Octavo lengua segundo parcial
Lic. Esthela Cumbicos
FUNCIONES MULTIVARIABLES
Jarumy cecilia Sánchez Hernández
Sumas de Riemann
Miguel Reyes
Prueba Corta
José William Montes Ocampo
FIGURAS GEOMÉTRICAS Y SUS CARACTERÍSTICAS
Yarely Delgado
test online matematica
Juan Francisco D1632
Browse Library