Themen der Vektorrechnung

Description

Mathematik Note on Themen der Vektorrechnung, created by Paula Raithel on 11/10/2016.
Paula Raithel
Note by Paula Raithel, updated more than 1 year ago
Paula Raithel
Created by Paula Raithel almost 9 years ago
459
21

Resource summary

Page 1

Vektor in der Ebene und Raum Stellt euch vor, ihr steht auf einem Marktplatz und wollt in eine gewisse Richtung laufen. Und dies sollt ihr nun Mathematisch beschreiben. Eine Möglichkeit wäre: 4 Meter vorwärts laufen und 3 Meter nach rechts laufen. Genau so eine Bewegung lässt sich als Vektor darstellen. Dabei muss man sich darüber im klaren sein, ob man sich auf einer Ebene bewegt, oder ob man sich im Raum (also auch mit Höhenänderung) bewegt.Ebener Vektor (2D) Die folgende Grafik zeigt einen ebenen Vektor in der 2D-Ebene. Seht euch das Bild erst einmal kurz an und lest dann die Erklärungen unterhalb:

Stellt euch vor, der Punkt x = 0 und y = 0 ist der Startpunkt, an dem ihr los lauft. Geht ihr insgesamt um 4 Meter nach rechts und dabei auch um 6 Meter nach oben, erreicht Ihr den Punkt 4;6. Der Pfeil vom Ursprung auf diesen neuen Punkt wird Vektor genannt. Im nun Folgenden sehr ihr die mathematische Darstellung. Dabei ist der oberste Wert der x-Wert, der untere der y-Wert:

Räumlicher Vektor (3D) Wenn wir uns nicht nur in der Länge und Breite, sondern auch in der Höhe bewegen können, brauchen wir noch eine dritte Angabe um die Richtung zu bestimmen. Diese wird dann zum Beispiel in ein x-y-z-Koordinatensystem eingetragen. Noch ein Hinweis: Ich erhalte öfters einmal E-Mails mit verschiedenen Vorschlägen für die Achsenbeschriftungen, in denen verschiedenste x, y und z Achsen vorgeschlagen werden. In der Praxis sieht es so aus, dass man die Achsen entsprechend der Aufgabenstellung beschriftet. Außerdem gibt es rechts- und linkshändige Koordinatensysteme. Die folgende Grafik zeigt eine von vielen möglichen Achsenbeschriftungen an:

Für den Vektor langt nun keine x-y-Angabe mehr. Deshalb wird nun ein dreidimensionaler Vektor genutzt. Der oberste Wert ist hierbei der x-Wert, der mittlere der y-Wert und der unterste der z-Wert. Dies sieht dann so aus:

Page 2

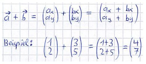
Vektorrechnung: Addition, Subtraktion und Skalarprodukt Die Addition und Subtraktion ist denkbar simpel. Die einzelnen X-Werte und Y-Werte bzw. - sofern vorhanden - auch die Z-Werte werden addiert bzw. von einander abgezogen. Bei dem Skalarprodukt wird es ein klein bisschen komplizierter, aber nicht viel. Beginnen wollen wir jedoch mit der Addition.Vektorrechnung: Addition Also hier nun die Addition zur Vektorrechnung. Dabei werden die beiden X-Werte addiert und die beiden Y-Werte addiert. Wäre noch ein Z-Wert vorhanden, würde mit diesem genauso verfahren werden. Hier nun die allgemeine Formel und ein Beispiel:

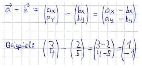
Vektorrechnung: Subtraktion Die Subtraktion von Vektoren funktioniert sehr ähnlich. Hier werden die beiden X-Werte und Y-Werte voneinander abgezogen. Wäre noch ein Z-Wert vorhanden, würde man diesem ebenso verfahren. Hier wieder die allgemeine Schreibweise und ein Beispiel.

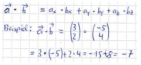
Skalarprodukt, Orthogonal, Senkrecht Kümmern wir uns nun um das Skalarprodukt von zwei Vektoren. Dazu erneut die allgemeine Schreibweise sowie ein Beispiel, welches jedoch nicht mit dem Z-Wert arbeitet ( Wäre noch ein Z-Wert vorhanden, würde damit genauso verfahren werden ):

Wir haben in dem Beispiel -7 als Lösung raus bekommen. Wäre eine 0 ( Null ) als Ergebnis ausgerechnet worden, würden die beiden Vektoren senkrecht aufeinander stehen. Man bezeichnet dies auch als Orthogonal. Merke: Ist das Skalarprodukt zweier ( vom Nullvektor verschiendenen ) Vektoren Null, stehen die beiden Vektoren senkrecht ( = orthogonal ) aufeinander.

Page 3

Parallelität, Kollinearität und Komplanarität (Vektor) Gleichheit, Parallelität und Anti-Parallelität Beginnen wir mit dem Begriff "Gleichheit" in Bezug auf Vektoren. Dabei gilt: Zwei Vektoren werden als gleich bezeichnet, wenn sie in Länge und Richtung übereinstimmen. Die beiden folgenden Vektoren sind "gleich":

Kommen wir zur Parallelität von Vektoren: Zwei Vektoren mit gleicher Richtung heißen zueinander parallel. Die folgende Grafik zeigt zwei parallele Vektoren:

Fehlen noch die anti-parallelen Vektoren. Diese kann man wie folgt definieren: Besitzen zwei Vektoren entgegengesetzte Richtungen, werden diese als zueinander anti-parallel bezeichnet. Die folgende Grafik zeigt zwei anti-parallele Vektoren:

Kollinear und Komplanar Kollineare Vektoren sind parallele oder anti-parallele Vektoren. Einer der beiden Vektoren ist ein vielfaches des anderen Vektors. Das folgende Beispiel zeigt zwei kollineare Vektoren.

Als letztes betrachten wir noch die komplanaren Vektoren. Darunter versteht man Vektoren, die in einer Ebene liegen. Dies ist leider ein recht umfangreiches Thema. Aus diesem Grund sei hier auf weitere Kapitel der Vektor-Rechnung verwiesen, die sich mit dem Thema Ebenen-Rechnung beschäftigen.

Page 4

Berechnung des Mittelpunkts einer Strecke Hat man eine Strecke, welche durch die Punkte P1 und P2 begrenzt wird, so interessiert man sich manchmal für deren Mittelpunkt. Gesucht sind somit die Koordinaten des Punktes M, der genau in der Mitte zwischen P1 und P2 liegt. Um diesen zu berechnen, muss man sich einer einfachen Formel bedienen. Für den ebenen Fall und den räumlichen Fall findet ihr hier nun die Formeln. Im Anschluss gibt es für beide Fälle noch jeweils ein Beispiel.

Page 5

Betrag eines VektorsDer Betrag eines Vektors entspricht der Länge dieses Vektors. Man weiß nach der Betragsbildung somit, welche Streckenlänge dieser Vektor in der Ebene oder im Raum hat. Die Idee dafür entstammt dem Satz des Pythagoras. Die folgende Grafik zeigt euch dies:

Zur Erinnerung: Die Längen ax und ay stellen die Katheten des Dreiecks dar, der Betrag des Vektors entspricht der Hypotenuse. Kennt man die Längen der beiden Katheten, kann man mit dem Satz des Pythagoras die Länge der Hypotenuse berechnen.

Betrag eines ebenen Vektors Um die Länge eines ebenen Vektors zu bestimmen, berechnen wir dessen Betrag. Es folgt zunächst die allgemeine Formel um diese Berechnung durchzuführen. Im Anschluss erhaltet ihr ein Beispiel.

Betrag eines räumlichen Vektors Um die Länge eines räumlichen Vektors zu bestimmen, berechnen wir dessen Betrag. Es folgt zunächst die allgemeine Formel um diese Berechnung durchzuführen. Im Anschluss erhaltet ihr auch ein Beispiel.

Page 6

Vektorprodukt / Kreuzprodukt Die Addition, Subtraktion und das Skalarprodukt in Bezug auf die Vektorrechnung haben wir bereits in vorigen Artikeln erklärt. Als nächstes sehen wir uns das Vektorprodukt / Kreuzprodukt näher an. Folgende Punkte sind hierbei interessant: Bei einem Vektorprodukt zweier Vektoren entsteht ein neuer Vektor Dieser Vektor steht senkrecht auf den beiden Ausgangsvektoren und ist ein Normalenvektor der von den Ausgangsvektoren aufgespannten Ebene und Der Betrag dieses Vektors ist ein Maß für die Fläche des aufgespannten Parallelogramms

Page 7

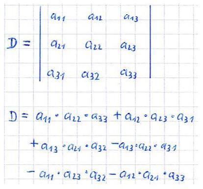
SpatproduktDas Vektorprodukt war hilfreich zur Berechnung des Flächeninhalts zwischen zwei Vektoren. Das Spatprodukt hilft nun bei der Berechnung des Volumens dreier Vektoren. Dazu schreiben wir die drei Vektoren in eine Determinante und berechnen diese. Es folgt als nächstes die allgemeine Schreibweise. Anschließend erhaltet Ihr ein Beispiel:

Show full summary Hide full summary

Similar

Mathe Quiz
JohannesK
Vektorendefinition
Sinan 2000
Statistik Theorie
Clara Vanessa
Themen der Vektorrechnung II
Paula Raithel
Mathe Themen
barbara91
Stochastik
barbara91
Mathe Themen Abitur 2016
henrythegeek
Differenzialrechnung (Analysis) Zusammenfassung
Antonia C
Funktionen Einführung und Geradenfunktionen
Tahir Celikkol
Analysis - Abiturvorbereitung Mathe
c.aciksoez
Stochastik
elouasdi98