Themen der Vektorrechnung II

Description

Mathematik Note on Themen der Vektorrechnung II, created by Paula Raithel on 11/10/2016.
Paula Raithel
Note by Paula Raithel, updated more than 1 year ago
Paula Raithel
Created by Paula Raithel almost 9 years ago
322
18

Resource summary

Page 1

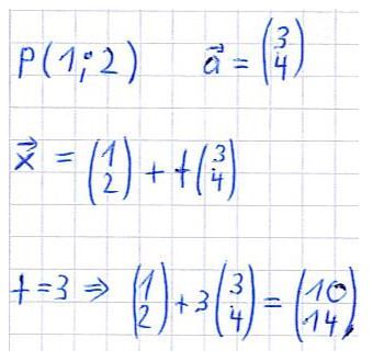
Punktrichtungsgleichung Von den Koordinatensystemen her wisst ihr inzwischen hoffentlich, was ein Punkt ist: In der Ebene zum Beispiel P(3;4) oder im Raum zum Beispiel P(2;1;3). Und Vektoren kennt ihr in Zwischenzeit ebenfalls, sowohl in der Ebene als auch im Raum. Zur Erinnerung: Der Vektor gibt euch eine Richtung an. Dieses Wissen kombinieren wir im nun Folgenden. Beispiel: Gegeben sei eine Gerade durch einen bestimmten Punkt mit einem Richtungsvektor. Die Punktrichtungsgleichung soll aufgestellt werden. Seht euch dazu einmal die folgende Berechnung an. Einige Erklärungen dazu folgen im Anschluss.

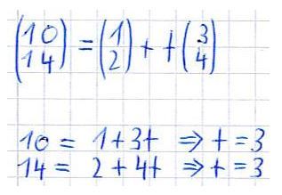
Wie bereits oberhalb der Rechnung beschrieben, haben wir einen Punkt und einen Vektor, mit welchem wir die Punktrichtungsgleichung bestimmen. Setzen wir nun für t eine Zahl ein ( z.B. t = 3 in unserem Beispiel ) erhalten wir einen weiteren Punkt P(10;14), welcher ebenfalls auf der Geraden liegt. Die Aufgabe könnte auch umgekehrt laufen. Ihr kennt die Punkte P1(10;14) und P2(1;2) und die Richtung und sollt nun "t" berechnen. Dies würde dann wie folgt aussehen:

Man erhält ein lineares Gleichungssystem, welches mit t=3 für alle Gleichungen gelöst werden kann. Punktrichtungsgleichung im Raum Die eben durchgeführten Rechnungen funktionieren natürlich auch im Raum. Es steht dann in den jeweiligen Fällen noch ein z-Wert und das Gleichungssysteme hat drei Zeilen.

Page 2

Gerade durch zwei Punkte Die Idee hinter der Zwei-Punkte-Form ist ganz einfach: Es soll eine Gerade gefunden werden, die durch zwei vorgegebene Punkte läuft. Die Frage lautet nun: Wie berechne ich diese Gerade? Die Lösung dazu liefert die folgende Formel, deren Anwendung gleich noch durch ein Beispiel erklärt wird.

Page 3

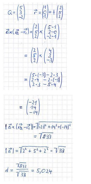
Punkt zu Gerade: Abstand berechnen In diesem Artikel sollt ihr lernen, wie man den Abstand zwischen einer Gerade und einem Punkt berechnet. Ganz wichtig dabei: Wir suchen den kürzesten Abstand! Die folgende Grafik zeigt euch dies: Von der Gerade g wird im rechten Winkel der Abstand zum Punkt Q markiert.

Beispiel: Wir haben einen Punkt Q und eine Gerade g ( die mit einer Gleichung mit r-Vektor beschrieben wird ) und möchten deren Abstand berechnen. Hier zunächst die Berechnung, ein paar erläuternde Worte findet ihr im Anschluss:

Page 4

Abstand paralleler Geraden Lage von Geraden zueinander Zwei Geraden können verschiedene Lagen zueinander einnehmen: Zwei Geraden liegen aufeinander Beide Geraden sind zueinander parallel Die beiden Geraden schneiden sich in einem Punkt Die beiden Geraden sind windschief ( verlaufen weder parallel noch schneiden sich ) In diesem Artikel interessieren wir uns für den Fall Nummer 2: Die Geraden sind zueinander parallel. Dies sieht dann wie folgt aus:

Fragt sich jetzt noch: Wie sehe ich in der mathematischen Darstellung, ob die Geraden parallel zueinander sind? Antwort: Dies sieht man an der linearen Abhängigkeit der beiden Richtungsvektoren. Die beiden Richtungsvektoren sind kollinear. Beispiel: Wir sehen uns im nun Folgenden zwei Geraden an. Diese sind parallel, denn die beiden Vektoren sind vielfache voneinander: Multipliziert man den ersten Vektor mit drei, erhält man den zweiten Vektor.

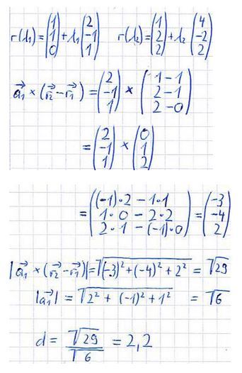
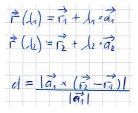
Abstand zweier paralleler Geraden Nun möchten wir den Abstand zwischen zwei parallelen Geraden berechnen. Dazu erst einmal die allgemeine Formel, gefolgt von einem wahrscheinlich deutlich besser verständlichem Beispiel:

Beispiel: Im nun Folgenden soll der Abstand zwischen zwei Geraden berechnet werden. Um die Rechnung zu verstehen, müsst ihr das Kreuzprodukt und die Betragsbildung verstehen.

Page 5

Schnittpunkt zweier Geraden Schnittpunkt berechnen In diesem Artikel sollt ihr lernen, wie man den Schnittpunkt zweier Geraden berechnet. Zunächst will ich kurz auf die allgemeine Vorgehensweise eingehen. Anschließend sollte ein Beispiel für die bessere Verständlichkeit sorgen. Allgemeine Vorgehensweise: Wir haben zwei Geraden, deren Schnittpunkt wir finden möchten Wir führen ein Gleichsetzen durch Wir stellen ein lineares Gleichungssystem auf Wir lösen dieses Gleichungssystem Mit dem Ergebnis berechnen wir den Schnittpunkt Beispiel:Zur besseren Verdeutlichung der Vorgehensweise, soll im nun folgenden der Schnittpunkt zweier Geraden berechnet werden. Dabei halten wir uns an den 5-Punkte-Plan, den ihr eben erhalten habt.

Page 6

Schnittwinkel zweier Geraden Schnittwinkel berechnen Es mag den meisten völlig logisch erscheinen, der Vollständigkeit halber muss man jedoch eine Bedingung für die Berechnung des Schnittwinkels zweier Geraden angeben: Die beiden Geraden müssen sich überhaupt schneiden. Wenn wir zwei Geraden im Raum haben, die sich nirgends schneiden, ist es schwachsinnig, für diese einen Schnittwinkel zu berechnen. Sofern in der Aufgabenstellung nicht explizit angegeben ist, dass sich zwei Geraden schneiden, könnt ihr dies selbst prüfen. Ist nun sicher gestellt, dass es einen Schnittpunkt gibt, kann man nun mit der Berechnung des Schnittwinkels beginnen. Dazu als erstes eine kleine Grafik, gefolgt von der Formel zur Berechnung des Winkels:

Show full summary Hide full summary

Similar

Mathe Quiz
JohannesK
Themen der Vektorrechnung
Paula Raithel
Statistik Theorie
Clara Vanessa
Vektorendefinition
Sinan 2000
Funktionen Einführung und Geradenfunktionen
Tahir Celikkol
Stochastik
elouasdi98
Geometrie
Tahir Celikkol
Funktionen - Erklärung von Begriffen
moodle5
Lineare Funktionen - Allgemein
Franziska W.
Geometrie
M. Heimann
Mathematik '16 Bayern
JFK24