null
US
Sign In
Sign Up for Free
Sign Up
We have detected that Javascript is not enabled in your browser. The dynamic nature of our site means that Javascript must be enabled to function properly. Please read our
terms and conditions
for more information.
Next up
Copy and Edit
You need to log in to complete this action!
Register for Free
4297071
Questionário - Lipídeos
Description
dos nutrientes Bioquímica Quiz on Questionário - Lipídeos , created by Questões Nutrição on 12/01/2016.
No tags specified
bioquímica
dos nutrientes
Quiz by
Questões Nutrição
, updated more than 1 year ago
More
Less
Created by
Questões Nutrição
almost 10 years ago
76
2
0
Resource summary
Question 1
Question
Um triglicerídeo consiste em:
Answer
Três gliceróis ligados a um lipídio.
Três ácidos graxos ligados a uma glicose.
Três ácidos graxos ligados a um glicerol.
Três fosfolipídios ligados a um colesterol.
Três ácidos graxos ligados a uma Vit A.
Question 2
Question
Os ácidos graxos essenciais são:
Answer
Ácido esteárico e ácido oleico.
Ácido oleico e ácido linoleico.
Ácido palmítico e ácido linolênico.
Ácido linolênico e ácido linoléico.
Ácido linolênico e ácido ascórbico.
Question 3
Question
Ácidos graxos saturados:
Answer
Têm sempre 18 carbonos de comprimento.
Possuem, pelo menos, uma dupla ligação.
São inteiramente carregados com hidrogênios.
São sempre líquidos em temperatura ambiente.
Se dissolvem em água.
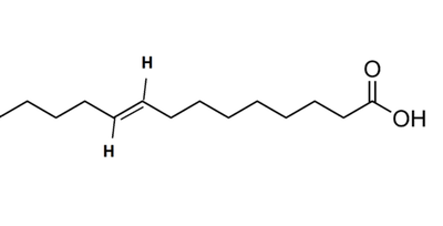
Question 4
Question
Identifique o tipo de Ácido graxo:
Image:
c79b0ba1-990b-486b-b144-4b38fa4631c4 (image/png)
Answer
Trans.
Cis.
Saturado.
Poliinsaturado.
Question 5
Question
Onde são produzidos os quilomícrons:
Answer
Fígado.
Pâncreas.
Vesícula biliar.
Intestino Delgado
Question 6
Question
Qual da seguintes afirmações não é verdadeira? Lecitina é:
Answer
Emulsificante.
Fosfolipídio.
Nutriente essencial.
Constituinte das membranas celulares.
Question 7
Question
Os veículos de transporte dos lipídios são chamados:
Answer
Micelas.
Lipoproteínas.
Vasos sanguíneos.
Monoglicerídeos.
Question 8
Question
Assinale a alternativa que não representa função dos lipídeos:
Answer
Fonte secundária de energia.
Protege os órgãos contra choques mecânicos.
Faz parte da composição de hormônios.
Produz enzimas.
Question 9
Question
LDL significa :
Answer
Lipoproteína de baixa densidade.
Lipoproteína de alta densidade.
Lipoproteína de densidade muito baixa.
Lipoproteína de densidade neutra.
Question 10
Question
Em relação a solubilidade dos lipídeos podemos dizer:
Answer
São substâncias polares e se dissolvem em água.
São substâncias apolares e são solúveis somente em meio apolar.
São apolares e se dissolvem em água.
São polares e se dissolvem em óleo.
Show full summary
Hide full summary
Want to create your own
Quizzes
for
free
with GoConqr?
Learn more
.
Similar
Bioquímica
Luíza Cristina
BIOQUÍMICA CELULAR
paulo.ximendes
Macro e Micronutrientes
Natalia Malagueta
Carboidratos (glicídios, açucares, hidratos de carbono)
Beatriz Avanzi
Metabolismo de Carboidratos II
Juliana Alfer
Proteínas - Composto Orgânico
Daiana GM
Metabolismo de Carboidratos I
Juliana Alfer
Sais Minerais - Compostos Inôrganicos
Daiana GM
Bioquimica cards
Leatrice Barros
Biomoléculas
Bruno Romio
Glicogênese e Glicogenólise
Leonardo Kroth Egres
Browse Library