null
US
Sign In
Sign Up for Free
Sign Up
We have detected that Javascript is not enabled in your browser. The dynamic nature of our site means that Javascript must be enabled to function properly. Please read our
terms and conditions
for more information.
Next up
Copy and Edit
You need to log in to complete this action!
Register for Free
1485655
Trigonometric functions. Exact values
Description
Quiz on Trigonometric functions. Exact values, created by estelavalcarcel on 17/10/2014.
No tags specified
math
trigonometry
values
Quiz by
estelavalcarcel
, updated more than 1 year ago
More
Less
Created by
estelavalcarcel
about 11 years ago
201
2
0
Resource summary
Question 1
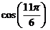
Question
What is the exact value of
Image:
1 (image/png)
Answer
Image:
a5 (image/png)
Image:
a6 (image/png)
Image:
a1 (image/png)
Question 2
Question
What is the exact value of
Image:
2 (image/png)
Answer
Image:
a6 (image/png)
Image:
a3 (image/png)
Image:
a4 (image/png)
Question 3
Question
What is the exact value of
Image:
3 (image/png)
Answer
Image:
a3 (image/png)
Image:
a8 (image/png)
Image:
a6 (image/png)
Question 4
Question
What is the exact value of
Image:
4 (image/png)
Answer
Image:
a8 (image/png)
Image:
a4 (image/png)
Image:
a7 (image/png)
Question 5
Question
What is the exact value of
Image:
5 (image/png)
Answer
Image:
a1 (image/png)
Image:
a2 (image/png)
Image:
a6 (image/png)
Question 6
Question
What is the exact value of
Image:
6 (image/png)
Answer
Image:
a1 (image/png)
Image:
a6 (image/png)
Image:
a2 (image/png)
Question 7
Question
What is the exact value of
Image:
7 (image/png)
Answer
Image:
a2 (image/png)
Image:
a6 (image/png)
Image:
a5 (image/png)
Question 8
Question
What is the exact value of
Image:
8 (image/png)
Answer
Image:
a1 (image/png)
Image:
a6 (image/png)
Image:
a2 (image/png)
Question 9
Question
What is the exact value of
Image:
9 (image/png)
Answer
1
-1
Image:
a2 (image/png)
Question 10
Question
What is the exact value of
Image:
10 (image/png)
Answer
Image:
a4 (image/png)
Image:
a2 (image/png)
Image:
a6 (image/png)
Show full summary
Hide full summary
Want to create your own
Quizzes
for
free
with GoConqr?
Learn more
.
Similar
Pythagorean Theorem Quiz
Selam H
Geometry Vocabulary
patticlj
Algebra 2 Quality Core
Niat Habtemariam
Trigonometry, Equations, Pythagoras theorem
Caitlin Mortlock
Lines and Triangles
Jadéjah Robinson
GRE Study Precalc
Marissa Miller
Trigonometric Functions
Selam H
Beggining Trigonometry
Selam H
Funciones
Dami Alvarez
Maths Revision
Asmaa Ali
Maths
xcathyx99
Browse Library