null
US
Sign In
Sign Up for Free
Sign Up
We have detected that Javascript is not enabled in your browser. The dynamic nature of our site means that Javascript must be enabled to function properly. Please read our
terms and conditions
for more information.
Next up
Copy and Edit
You need to log in to complete this action!
Register for Free
15215043
Name the Vitamin-Biochemistry Exam 1 PMU 2nd Year
Description
Name the Vitamin
No tags specified
name the vitamin
bichemistry
pmu
plovdiv
vitamin
2nd year
anatomy
Quiz by
milky the way
, updated more than 1 year ago
More
Less
Created by
Med Student
about 9 years ago
Copied by
milky the way
about 7 years ago
13
0
0
Resource summary
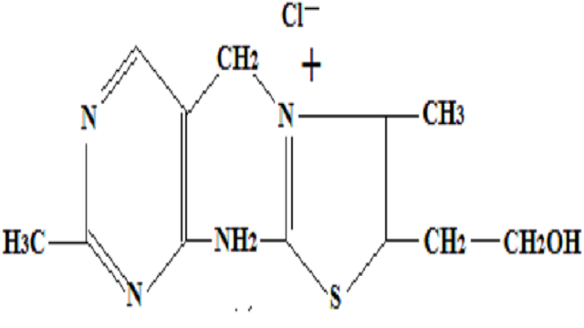
Question 1
Question
Label this vitamin
Image:
f346ae10-3425-4baf-9d03-843d7ddbc5d5 (image/png)
Answer
B1 thiamine
Question 2
Question
Label this image.
Image:
1df145a7-c1ee-43e2-8d58-5d1709c71a36 (image/jpeg)
Answer
B2 Riboflavin
Question 3
Question
Label this image.
Image:
a25b505e-d979-41ef-9566-b0e9eb88e2a0.gif (image/gif)
Answer
B3 Niacine
Question 4
Question
Label this image
Image:
22ab1579-0474-4457-9c33-d7f218b0302e.gif (image/gif)
Answer
B6 pyridoxine
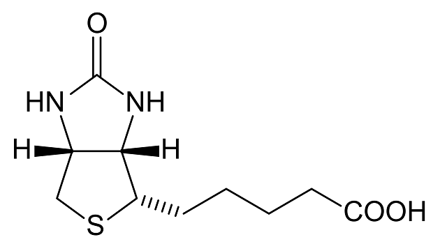
Question 5
Question
Label this image
Image:
a1da40f1-caa1-4f22-a67b-7553e4f13561 (image/png)
Answer
H Biotin
Question 6
Question
Label this vitamin
Image:
52215797-d05e-4d12-bab1-e3fad1ff999a (image/png)
Answer
B9 Folic Acid
Question 7
Question
Label this image
Image:
2c3e73c6-81c6-4a33-ba12-2c895c9abfa3 (image/png)
Answer
B5 pantothenic acid
Question 8
Question
Label this Vitamin
Image:
7ab61abe-6154-4626-a901-87e58d734196 (image/png)
Answer
C Ascorbic Acid
Question 9
Question
Label this vitamin
Image:
287ae602-13f4-478e-8442-358c2e012e11 (image/png)
Answer
A Retinol
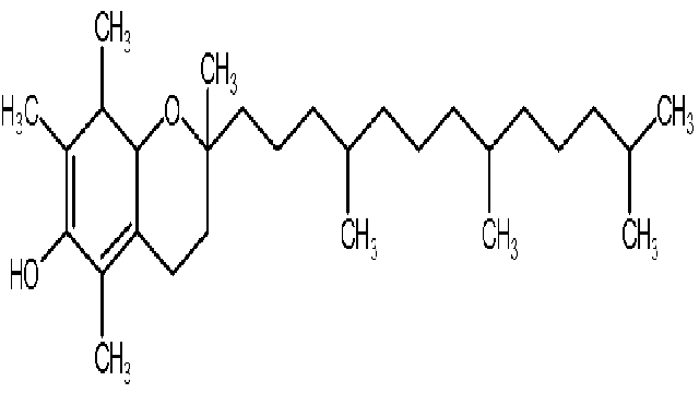
Question 10
Question
Label this vitamin
Image:
c55eb4c7-6bc8-4531-8125-465ca7773157 (image/png)
Answer
E tocopherol
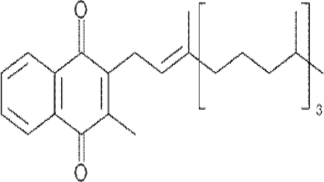
Question 11
Question
Label this vitamin
Image:
99678794-4497-49b3-8f11-44d47850e135 (image/png)
Answer
K phylloquinione
Question 12
Question
Label this vitamin
Image:
0dc441e1-1400-4788-900a-c223100bc117 (image/jpeg)
Answer
D Calciferol
Show full summary
Hide full summary
Want to create your own
Quizzes
for
free
with GoConqr?
Learn more
.
Similar
Biochemistry MCQ Exam 1- PMU 2nd Year
Dilawar H.
Biochemistry MCQ Exam 1- PMU 2nd Year
milky the way
Biochemistry MCQ Exam 1- PMU 2nd Year
milky the way
General Physiology of the Nervous System Physiology PMU 2nd Year
milky the way
Anatomy: Histology Slides Test 1 2nd Year Semester 1 PMU
milky the way
Respiratory System 2nd Year PMU Anatomy
milky the way
Biochemistry MCQs Exam 2- PMU 2nd Year
Dilawar H.
Cell Physiology and General Physiology of Excitable Tissues- Physiology PMU 2nd Year
milky the way
Respiratory System Long Qs. PMU Anatomy 2nd Year
milky the way
Cardio-vascular System Long Qs. - Year 2/ Test 1 PMU Anatomy
milky the way
Cardio-vascular System Long Qs. - Year 2/ Test 1 PMU Anatomy
milky the way
Browse Library