null
US
Sign In
Sign Up for Free
Sign Up
We have detected that Javascript is not enabled in your browser. The dynamic nature of our site means that Javascript must be enabled to function properly. Please read our
terms and conditions
for more information.
Next up
Copy and Edit
You need to log in to complete this action!
Register for Free
4126199
NMS_ND_Potenz_Wurzel
Description
Viel Spaß beim Üben!
No tags specified
potenz
wurzel
baisis
hochzahl
mathematik 3
3
Quiz by
Robert Mairginter
, updated more than 1 year ago
More
Less
Created by
Robert Mairginter
almost 10 years ago
75
1
0
Resource summary
Question 1
Question
Berechne!
Image:
a9219063-5192-4cea-b7bb-6e6a10ab0400 (image/jpeg)
Answer
1 000
100
10 000
Question 2
Question
0,1³ =
Answer
0,1
0,01
0,001
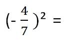
Question 3
Question
Berechne!
Image:
15ca2d75-4612-471e-9729-b00f70f314c8 (image/jpeg)
Answer
- 16/49
16/49
8/14
-8/14
Question 4
Question
Berechne!
Image:
ea464f11-2f54-47d3-9b09-376fcfcd9662 (image/jpeg)
Answer
10 hoch 5
10 hoch 6
10 hoch 4
Question 5
Question
Beim Multiplizieren von Potenzen werden die Hochzahlen multipliziert!
Answer
True
False
Question 6
Question
Berechne
Image:
7b3cea72-07a5-4cfe-968c-de70dee94925 (image/jpeg)
Answer
10 hoch 25
10 hoch 10
10 hoch 0
Question 7
Question
Schreib als Potenz! 10 000 =
Answer
10 hoch 3
10 hoch 4
10 hoch 5
Question 8
Question
Ist das Ergebnis richtig? 0,5² = 2,5
Answer
True
False
Question 9
Question
Wie lautet das eRgebnis von
Image:
5cda496e-002f-4cea-a4f8-af214732a7fb (image/jpeg)
Answer
4
8
32
Question 10
Question
Wie lautet das Ergebnis?
Image:
64420d34-8d63-4e4e-a7ba-f6fb074f0571 (image/jpeg)
Answer
15
150
1 500
15 000
Question 11
Question
Beim Dividieren von Potenzen werden die Hochzahlen subtrahiert!
Answer
True
False
Show full summary
Hide full summary
Want to create your own
Quizzes
for
free
with GoConqr?
Learn more
.
Similar
NMS_ND_Potenzieren und Wurzelziehen
Robert Mairginter
Wurzelziehen
Robert Mairginter
Potenzen - Level 1
Robert Mairginter
Rechnen mit Potenzen
Robert Mairginter
Ultimativer Test
Robert Mairginter
Wurzelziehen
Alina Beeske
Wurzelziehen
Claudias Kühnel
AG 1.1 Potenzen - Level 1
Mathe Queen
Potenzen - Einstieg
Mathe Queen
FA Funktionsarten
Mathe Queen
Browse Library