null
US
Sign In
Sign Up for Free
Sign Up
We have detected that Javascript is not enabled in your browser. The dynamic nature of our site means that Javascript must be enabled to function properly. Please read our
terms and conditions
for more information.
Next up
Copy and Edit
You need to log in to complete this action!
Register for Free
4125877
NMS_ND_Potenzieren und Wurzelziehen
Description
Alles zum Thema Potenzieren und Quasdratwurzelziehen
No tags specified
potenz
wurzel
quadrat
hochzahl
basis
mathematik 3
3
Flashcards by
Robert Mairginter
, updated more than 1 year ago
More
Less
Created by
Robert Mairginter
almost 10 years ago
115
2
0
Resource summary
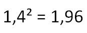
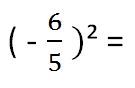
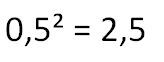
Question
Answer
Image:
a3f61538-79bf-4cc8-8811-466d5809728c (image/jpg)
Image:
a107936f-cacc-4f75-88cf-42f5a66eee1d (image/jpg)
Image:
a791e183-0706-4ff3-b0c7-70d8e11ec95b (image/jpg)
Image:
ca4741df-dd6e-4d88-aa0d-ec299f6bb3d8 (image/jpg)
Image:
d72f6c9d-4445-461a-bedf-150ab02b43e8 (image/jpg)
Image:
1a961b29-6ed0-4759-a988-5b4a74910ba2 (image/jpg)
Image:
5ba45e15-6464-47a5-ba45-a3f4dfad1b13 (image/jpg)
Image:
4f423e5a-762a-428a-98bd-e7f8dbb88877 (image/jpg)
Image:
91511deb-1400-4092-8aa6-9cb5c096e310 (image/jpg)
Image:
5cf000ec-a0e3-4671-ab1e-b1a9eb3ca8cf (image/jpg)
Richtig/Falsch?
Image:
d47797c8-e337-49c5-9ca0-41d454cf1a3f (image/jpg)
Image:
b92facde-0e24-48dc-b31a-34d62f08ffe1 (image/jpg)
Image:
2a672e66-f621-456a-9e2b-eb6d95734dd8 (image/jpg)
10 . 10 . 10 . 10 . 10 = 100 000
Image:
34cd4d83-9074-4f78-a446-d4cd6260c446 (image/jpg)
Image:
6d132e45-14cb-46b0-8dea-46f3d006f027 (image/jpg)
Image:
06d2d775-bff3-418b-ba54-d1a3a3e79410 (image/jpg)
10
Image:
d7dfb3e5-0464-4cad-a8b3-a7495aedc8db (image/jpg)
8
Image:
1c5ebd6a-e108-4093-9c14-be37d7bef1c4 (image/jpg)
1,9
Image:
0a38c709-8238-4b3a-aaa3-13ead6d19a0c (image/jpg)
150
Image:
af6da2d8-9c9c-4051-99bc-7a2c96a787f9 (image/jpg)
wahr
Image:
960fb1fe-49e0-4989-92e2-87475b9a51c1 (image/jpg)
Image:
002900a0-620f-4ef3-8448-7e3f8a3e4717 (image/jpg)
Image:
e95c46db-9dca-49ba-9454-933233799a91 (image/jpg)
Image:
93d61f6a-c0d7-4071-9fc9-661e95d32331 (image/jpg)
Image:
701e9819-70e5-4b3e-b4d6-6f1fb13bc0eb (image/jpg)
Image:
eab3bd44-a567-45d6-99c0-8c9cfa8da60e (image/jpg)
Image:
8f451ad1-6be5-4b76-8927-230a368c6620 (image/jpg)
Image:
d794a9ad-4409-459a-8782-6cacb04141ac (image/jpg)
Image:
e350bec7-9ccb-4602-a1f6-24c8ec2d8d53 (image/jpg)
Image:
93b0548e-d7c4-408c-8495-73e3e9c4349d (image/jpg)
Show full summary
Hide full summary
Want to create your own
Flashcards
for
free
with GoConqr?
Learn more
.
Similar
Rechnen mit Potenzen
Robert Mairginter
NMS_ND_Potenz_Wurzel
Robert Mairginter
Wurzelziehen
Robert Mairginter
Potenzen - Level 1
Robert Mairginter
Berechnung von Nullstellen
Dana Gerlach
Vierecke
Robert Mairginter
Ultimativer Test
Robert Mairginter
Mathe KE3: Basis, Dimension, lineare Abbildungen
David Bratschke
Rechteck und Quadrat - Umkehrungsaufgaben zur Umfangberechnung
Robert Mairginter
AG 1.1 Potenzen - Level 1
Mathe Queen
Potenzen - Einstieg
Mathe Queen
Browse Library