Primera Evaluación de Trigonometria

Description

Test de lo básico de Trigonometria.
José William Montes Ocampo
Quiz by José William Montes Ocampo, updated more than 1 year ago
José William Montes Ocampo
Created by José William Montes Ocampo over 9 years ago
1029
12

Resource summary

Question 1

Question
Responda lo que se presenta en la figura dada.

Question 2

Question
Responda lo que describen en la figura dada.

Question 3

Question
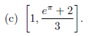
Responda a partir de la imagen dada.
Answer
  • A. Un cero.
  • B. Dos ceros.
  • C. Tres ceros.
  • D. No tiene ceros.

Question 4

Question
Una persona hace volar una cometa. Sostiene la cuerda a 4 pies sobre el nivel del suelo. La cuerda de la cometa esta tensa y forma un ángulo de 60 grados con la horizontal. Si la longitud de la cuerda es de 500 pies, a ¿qué altura del suelo está la cometa? (Aproxime su respuesta a un número entero)
Answer
  • A. 450 pies.
  • B. 428 pies.
  • C. 437 pies.
  • D. 433 pies.

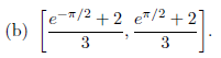
Question 5

Question
Responda a partir de la imagen dada.
Show full summary Hide full summary

Similar

FUNCIONES MULTIVARIABLES
Jarumy cecilia Sánchez Hernández
Problemas de Ingenio
Andrea Pan
Taller de Relaciones y Funciones
José William Montes Ocampo
Test de Funciones
José William Montes Ocampo
Prueba de Funciones
José William Montes Ocampo
Evaluación de Limites
José William Montes Ocampo
Tipos de funciones
Toni Zavala
Interés Simple
Sofía Valdés
Prueba Diagnóstico Precálculo
Caroll Cuellar
MODELO DE LAS FUNCIONES CEREBRALES COMPLEJAS
Natali E Martz
AGENCIA DE VIAJES
Neyla Vargas