null
Sign In
Sign Up for Free
Sign Up
We have detected that Javascript is not enabled in your browser. The dynamic nature of our site means that Javascript must be enabled to function properly. Please read our
terms and conditions
for more information.
Next up
Copy and Edit
You need to log in to complete this action!
Register for Free
5111759
Evaluación de Limites
Description
Evaluación de Limites de Funciones en una variable.
No tags specified
funciones
limites
matemáticas
wizac
test
evaluación
matemáticas 1
2. evaluaciones de diferentes temas
pruebas
Quiz by
José William Montes Ocampo
, updated more than 1 year ago
More
Less
Created by
José William Montes Ocampo
over 9 years ago
723
9
1
Resource summary
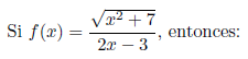
Question 1
Question
Responda lo que aparece en la imagen dada.
Image:
f81190d2-a5ee-40c4-8945-22ea03d4cacd (image/png)
Answer
Image:
ff41c1db-ea99-4671-bf70-51ba4d0df54e (image/png)
Image:
7b16ebd7-871c-4741-a039-6010690e3c2b (image/png)
Image:
a037341f-c4d7-42db-b671-33b1d97f9f80 (image/png)
Image:
45a56db1-0b96-4492-8dfe-6fe9a909d52a (image/png)
Question 2
Question
Responda a partir de la imagen dada.
Image:
0911d695-59ab-4cfd-8c82-1d39bc6b4e62 (image/png)
Answer
Image:
c78f90fa-2d12-470b-b9bf-1463337cd41d (image/png)
Image:
dd75aa01-4a67-4743-84cf-0d9847706e3d (image/png)
Image:
5b83ab1d-b0a6-4ac6-bcf5-f5148f6fe9f5 (image/png)
Image:
873b7134-513f-4474-a8b3-a34a7cedc93d (image/png)
Question 3
Question
Responda a partir de la imagen.
Image:
95bd7e8d-6f95-41e8-aa2c-b25bb15cd44e (image/png)
Answer
Image:
76986a75-e2e1-49fe-87f0-8a91292e27f1 (image/png)
Image:
f2770e7b-1fb3-4ff4-b7ae-eb75fa75b76f (image/png)
Image:
3708dd81-ba88-461f-aa1e-3c6d3a04fb04 (image/png)
Image:
bb5986bf-78a0-4e55-b31c-16babf8386cf (image/png)
Question 4
Question
Responda a partir de lo que dice la imagen.
Image:
065ad808-5d8a-48a5-8508-b6fd17e7efbd (image/png)
Answer
Image:
6468cfdc-6e92-4e37-8769-5ba31e8797ae (image/png)
Image:
1a132f9e-7f2b-4013-b1ce-4497450336ae (image/png)
Image:
c4b2c799-f4e4-4e31-8142-fce7f1372940 (image/png)
Image:
19741ce6-5189-4d51-b429-e5b9db926adb (image/png)
Question 5
Question
Responda a partir de la figura.
Image:
c45cf5bc-3bd9-431a-9260-fd15052fd6f8 (image/png)
Answer
Image:
93f69617-6bd6-45b3-888b-d8179966874e (image/png)
Image:
748f41c8-2b97-4481-8597-1f583ef1a6b3 (image/png)
Image:
1cea8551-4678-43ed-9259-d1d2e44eb158 (image/png)
Image:
91cd04a3-5f8f-421f-96cb-209076b5e46a (image/png)
Show full summary
Hide full summary
Want to create your own
Quizzes
for
free
with GoConqr?
Learn more
.
Similar
How well do you know GoConqr?
Sarah Egan
FUNCIONES MULTIVARIABLES
Jarumy cecilia Sánchez Hernández
Prueba de Funciones
José William Montes Ocampo
Problemas de Ingenio
Andrea Pan
Taller de Relaciones y Funciones
José William Montes Ocampo
Test de Funciones
José William Montes Ocampo
General Knowledge Quiz
Andrea Leyden
Revision Timetable
katy.lay
Primera Evaluación de Trigonometria
José William Montes Ocampo
OCR Gateway GCSE P3 Revision Quiz
xhallyx
Ancient Roman Quiz
Rev32
Browse Library