null
US
Sign In
Sign Up for Free
Sign Up
We have detected that Javascript is not enabled in your browser. The dynamic nature of our site means that Javascript must be enabled to function properly. Please read our
terms and conditions
for more information.
Next up
Copy and Edit
You need to log in to complete this action!
Register for Free
7278947
Algebra 2 AB Logarithms Practice
Description
Review of Logs
No tags specified
math
algebra2
logarithms
exponential
maths
10th grade
Quiz by
Staci Gallun
, updated more than 1 year ago
More
Less
Created by
Staci Gallun
almost 9 years ago
102
1
0
Resource summary
Question 1
Question
Rewrite in exponential form.
Image:
198f6063-2878-4b65-8667-03239ff22aa5 (image/png)
Answer
Image:
a63b83b8-928c-4dc1-92f7-5e773613c8cb (image/png)
Image:
9fcbe4d1-5d3c-468b-8999-0502428db284 (image/png)
Image:
14ffd7f7-0810-4736-a9a5-93a201f2d89e (image/png)
Image:
bf1dbed0-2f88-4940-b912-205dd62f8da0 (image/png)
Question 2
Question
Fill in the blanks to correctly write in logarithmic form.
Image:
7b8a5519-47b0-4bf8-83d1-32b619513da3 (image/png)
Answer
3
27
-3
Question 3
Question
Fill in the blanks to correctly write in logarithmic form.
Image:
fdd834fe-d8cb-4256-ba9d-23b877bbbf20 (image/png)
Answer
1/2
2
-1
Question 4
Question
Rewrite in logarithmic form.
Image:
bbdd1559-5563-41ef-8304-338b8906c021 (image/png)
Answer
Image:
20673166-4c14-4c31-876c-99a7cd160d1e (image/png)
Image:
73d96c76-b218-4246-8590-d9cf4cff5583 (image/png)
Image:
858985a2-6124-4142-81be-194a81820729 (image/png)
Image:
e2d29491-2770-40fc-b2ef-351cec00ed6a (image/png)
Question 5
Question
Fill in the blank to correctly write in exponential form.
Image:
b4607faf-08f4-4c28-9f59-c66a5703cf3d (image/png)
Answer
4
-2
1/16
Question 6
Question
Fill in the blank to correctly write in exponential form.
Image:
71a9ddba-47f4-4fa3-be82-56c88ed08416 (image/png)
Answer
5
0
1
Question 7
Question
Evaluate each of the following.
Image:
cd2e1c72-8894-429d-bce5-283bfada376c (image/png)
Answer
0
2
-1
-3
2
4
-2
1/2
Question 8
Question
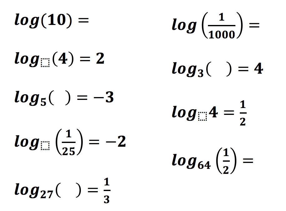
Fill in each blank with the correct number.
Image:
1f21dd72-1c8d-4522-a357-1ffae73d1b6d (image/png)
Answer
1
2
1/125
5
3
-3
81
16
-1/6
Question 9
Question
Rewrite in logarithmic form.
Image:
fbd48e61-c061-4880-a16a-5db18b0f6e56 (image/png)
Answer
Image:
5f57e764-f355-48a1-8edd-9354f3f4cb3a (image/png)
Image:
27bc1b1f-8150-45e6-b690-c2245bda3257 (image/png)
Image:
af83af68-5249-48d4-ad9b-670892f2e275 (image/png)
Image:
542bf6c3-a927-44d3-a017-ebd194ed9d78 (image/png)
Question 10
Question
Fill in the blanks with the correct number.
Image:
0985cc15-c7e8-4e6f-81c1-6beb6fd9cd15 (image/png)
Answer
1/2
-3
8
4
8
3/2
Show full summary
Hide full summary
Want to create your own
Quizzes
for
free
with GoConqr?
Learn more
.
Similar
STEM AND LEAF DIAGRAMS
Elliot O'Leary
TYPES OF DATA
Elliot O'Leary
CUMULATIVE FREQUENCY DIAGRAMS
Elliot O'Leary
Using GoConqr to study Maths
Sarah Egan
Geometry Formulas
Selam H
Pythagorean Theorem Quiz
Selam H
Fractions and percentages
Bob Read
GCSE Maths Symbols, Equations & Formulae
Andrea Leyden
FREQUENCY TABLES: MODE, MEDIAN AND MEAN
Elliot O'Leary
HISTOGRAMS
Elliot O'Leary
GCSE Maths: Geometry & Measures
Andrea Leyden
Browse Library