Know the principles of electricity

Description

2 Electrical Science Quiz on Know the principles of electricity, created by Vito Martino on 08/05/2014.
Vito Martino
Quiz by Vito Martino, updated more than 1 year ago
Vito Martino
Created by Vito Martino over 11 years ago
4066
33

Resource summary

Question 1

Question
Charge is a flow of?
Answer
  • electrons
  • neutrons
  • atoms
  • protons

Question 2

Question
Electricity is a flow of?
Answer
  • electrons
  • neutrons
  • atoms
  • ions

Question 3

Question
The negatively charged part of an atom is called the
Answer
  • proton
  • ion
  • neutron
  • electron

Question 4

Question
The positively charged part of an atom is called the
Answer
  • proton
  • ion
  • neutron
  • electron

Question 5

Question
Which of the following rely upon the chemical effect?
Answer
  • electric cell
  • thermocouple
  • alternator
  • filament lamp

Question 6

Question
Which of the following rely upon the heating effect?
Answer
  • electric cell
  • motor
  • filament lamp
  • alternator

Question 7

Question
The chemical effect of current is used in
Answer
  • generator
  • transformer
  • Fuse
  • electroplating

Question 8

Question
Which of the following rely upon the heating effect?
Answer
  • electroplating
  • motor
  • thermocouple
  • alternator

Question 9

Question
Which of the following combinations are required to produce electricity by induction?
Answer
  • two different metals and a solution
  • conductor and a magnet
  • An Anode and a cathode
  • two metals and a heat source

Question 10

Question
The symbol shown below represents
Answer
  • inductor
  • resistor
  • battery
  • capacitor

Question 11

Question
The symbol shown below represents
Answer
  • inductor
  • resistor
  • battery
  • capacitor

Question 12

Question
Orbiting around the nucleus of an atom are
Answer
  • ions
  • protons
  • electrons
  • neutrons

Question 13

Question
The symbol shown below represents
Answer
  • battery
  • capacitor
  • inductor
  • resistor

Question 14

Question
The symbol shown below represents
Answer
  • capacitor
  • inductor
  • battery
  • resistor

Question 15

Question
When a magnet is passed close to a conductor electricity is produced by
Answer
  • convection
  • electrolysis
  • induction
  • conduction

Question 16

Question
The SI unit of temperature is degrees
Answer
  • rankine
  • Kelvin
  • Fahrenheit
  • celcius

Question 17

Question
The SI unit for velocity is
Answer
  • metres per hour
  • metres per second
  • centimetres per second
  • miles per hour

Question 18

Question
The SI unit for mass is
Answer
  • tonne
  • pound
  • kilogram
  • gram

Question 19

Question
Hertz is the SI unit for
Answer
  • capacitance
  • frequency
  • impedance
  • reactance

Question 20

Question
Ampere is the SI unit of
Answer
  • charge
  • current
  • resistance
  • voltage

Question 21

Question
Weber is the SI unit for
Answer
  • magnetic flux
  • capacitance
  • electromotive force
  • flux density

Question 22

Question
The SI unit of volume is

Question 23

Question
The SI unit of time is
Answer
  • millisecond
  • second
  • hour
  • minute

Question 24

Question
The SI unit of electric charge is
Answer
  • farad
  • coulomb
  • joule
  • weber

Question 25

Question
The SI unit of inductance is
Answer
  • henry
  • coulomb
  • farad
  • webber

Question 26

Question
The SI unit of capacitance is
Answer
  • joule
  • farad
  • coulomb
  • weber

Question 27

Question
The SI unit of electromotive force is
Answer
  • ohm
  • volt
  • ampere
  • farad

Question 28

Question
The SI unit of power is
Answer
  • tesla
  • coulomb
  • watt
  • joule

Question 29

Question
Tesla is the SI unit for
Answer
  • flux density
  • capacitance
  • magnetic flux
  • electromotive force

Question 30

Question
Protons and electrons possess an electric charge. Which of the following statements is correct?
Answer
  • Electrons possess a negative charge
  • Electrons possess no charge
  • Electrons possess a positive charge
  • Protons possess a negative charge

Question 31

Question
The SI Unit for Frequency is
Answer
  • Volts
  • Hertz
  • Watt
  • Joules

Question 32

Question
SI unit for Length
Answer
  • Millimetres
  • Centimetre
  • Decimetre
  • Metre

Question 33

Question
The central nucleus of an atom consists of the following
Answer
  • Protons & neutrons
  • Protons & ions
  • Electrons & neutrons
  • Protons & electrons

Question 34

Question
The impedance of an inductive circuit is represented by the symbol
Answer
  • P
  • X
  • R
  • Z

Question 35

Question
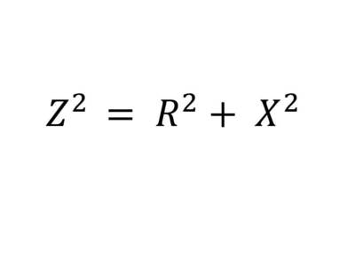
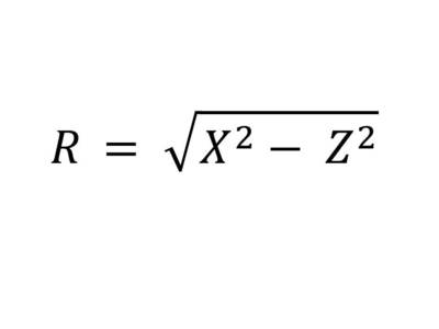
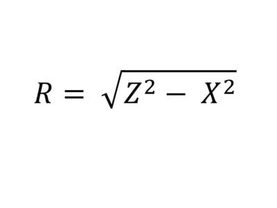
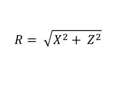
Given the formula, when transposed to give R it equals

Question 36

Question
To calculate impedance the following formula can be used. Which of the following would be used to find R

Question 37

Question
To calculate impedance the following formula can be used. Which of the following would be used to find KW

Question 38

Question
Which of the following formulas would be used to calculate transformers

Question 39

Question
Metre per second squared is used to measure
Answer
  • Acceleration
  • Volume
  • Probability
  • Velocity
Show full summary Hide full summary

Similar

Principles of basic electrical circuits
Vito Martino
Electricity
ShreyaDas
Renewable Energy Sources
darkangelforgiven
Using GoConqr to teach science
Sarah Egan
Using GoConqr to study science
Sarah Egan
AQA Physics P1 Quiz
Bella Statham
GCSE AQA Physics - Unit 3
James Jolliffe
Using GoConqr to teach French
Sarah Egan
Using GoConqr to study geography
Sarah Egan
Using GoConqr to study Economics
Sarah Egan
Using GoConqr to study English literature
Sarah Egan