First semster stuff -hunter

Description

hunter
Shoneeze Simone Renga
Slide Set by Shoneeze Simone Renga, updated more than 1 year ago
Shoneeze Simone Renga
Created by Shoneeze Simone Renga almost 10 years ago
22
0

Resource summary

Slide 1

    Organic Chemistry Paper2 
    Language,Mechanism and selectvitiy in organic reaction -8stereochemistry and conformational analysis -12Pericycle Processes-8Aromatic Chemistry-8Hetroaromatic Chemistry-10Organometallic Chemistry -32Synthetic Chemistry of C=O group and redox Chemistry-15Retrosynthesis-17

Slide 5

    Reactions
    SubstitutionNucleophilic sub and electrophilic sub EliminationHoffman EliminationAdditionA diels Alder cycloaddtionMarkovnikov additionRearrangementBeckmann Rearrangement

Slide 6

    Klopman-Salem (3 parametres)
    Filled oribtals-filled oribtal - always postive and replusion  Filled-unfilled oribtals-Sharing and stablizing (-ve) reduces Ea Electrostatic -like-unlike-stablizing destablizing when like-like

Slide 7

    Electronic effects-(Energy=Reacti)
    The Inductive effect-Polarization that a polar bond induces into other parts of the molecules through a sigma bond framework which affect electron density within the molecule.General rules:(I+)Electron released to a postive charge ,reduces Energy.(I-) Electrons released to a negative charge,raise Energy.(I+)Electrons released to - charge ,Raise energy.(I-) Electrons withdrawl ,reduce energy .

Slide 8

    Electronic effects -Continued...
    The more charge on a atom-the more destabilize it will beThe less charge on  a atom- the more stablized it will be .Acidicity and Basicity(I+)- effect attached to molecule-,increases the overall electron density on the molecule and the molecule is able to donate it elctrons= Basic(I-) effect atached to the molcule ,decrease the overall electron density on the molecule,making it electron defiicient .Therefore increasing it acidity . 

Slide 9

Slide 10

    4 factors
    Electronnegativity - The charge on a en atomincrease across the pt and up the groupHow willing is the element to accept the electronmore willing-stable,less willing destableResnance-Deloclization of charge over a number of  atoms .Spreading the charge helps to stablize it.Induction -The pulling of electrons 

Slide 11

    Field effect
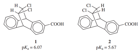
    Stereiosmers -Replusion between atoms raise the complex in energy,more unstable conj base=weaker acid. Operates through spaces or solvent molcules not bonds.Take the geometry into account.The inductive effect of the cl atoms on  the position of the electrons in the COOH group , differ as cl are closer in space in 1 than 2 .Filed effects are more important than inductive effects.

Slide 12

    Size of oribtals
    sp3,sp2l 

Slide 13

    Resonances
    Associated with the delocalistaion of electrons affecting electron distribution.Involes sigma-Hyper conjucationpi electronsCanonical formThe real structure is a hybird of all the canonical forms and is lower in energy than resonance form.All atoms taking part in resonance must lie in plane or neraly so to ensure good overlap between oribtals.

Slide 14

    Generation of resonace structures
    ELECTRONS MUST BE SHIFTED!!!!!!!!!!!Electron releasing group =pi system= Push 1 lone pair from each group into pi system(n-pi)Electrn withdrawing group=pi-pi= pull pi electrons  into group .For unsubstituted systems:Benzene1,3butdiaene seperate pi bond into a +ve and -ve way 

Slide 15

    Markovnikov Addition
    Add to the site which will give the most stable compound, i.e lower in energy. Carbanions can be rationalized in the same way. Their energy increases with electron being released and decrease with electrons be removed.

Slide 16

    Stereoelectronic Effects
    Where a structural or reaction sitution involves oribtal alignment playing a major or determing role.Example Hyperconjucations p oribtal and sigma oribtal must be parallel =to ensure maxium overlap.

Slide 17

Slide 18

Slide 19

Slide 20

    Stereoisomers-Isomers
    Consittutional isomers isomers with the same moleculer formula but different connectivity of atoms. Not the same bonding connectivity can have different combinations of bonds.
    stereoisomers Same bonding connectivity Are they mirror images? Yes- are they superimposable no?-Enatiomers- what is the energy barrier? break bonds and reform bonds -high-configuration intercovert by the rotate around single bonds -conformational-low Not mirror images=Diastereiosmers high energy barrier-configurational=cis or trans low energy =conformational
Show full summary Hide full summary

Similar

A Level Chemistry Unit 1 - Organic Chemistry
charlottehyde
Water and Organic Macromolecules
Selam H
Organic Chemistry
Ella Wolf
A2 Organic Chemistry - Reactions
yannycollins
C2: Material Choices Test
James McConnell
Crude Oils and others quiz
Dale George
Organic Nomenclature
mahnoor.gohar
Alcohols
Bee Brittain
Polymerisation.
anjumn10
Mechanisms
DauntlessAlpha
Carboxylic Acids
Kassie Radford