FOST 3 - Inferenzstatistik

Description

FOST (FOST 1 -4) Flashcards on FOST 3 - Inferenzstatistik , created by Kathy H on 09/08/2016.
Kathy H
Flashcards by Kathy H, updated more than 1 year ago
Kathy H
Created by Kathy H about 9 years ago
267
46

Resource summary

Question Answer
Ziel der Inferenzstatistik Schlüsse von einer Stichprobe auf Population zu ziehen sowie Aussagen über die Güte der Schlüsse
wie kann man sicherstellen, dass Ergebnis einer Stichprobe auf Population verallgemeinert werden kann - Metaanalysen - Berücksichtigung der Wahrscheinlichkeit, dass die Bestimmung des Ergebnis aus der Stichprobe falsch ist
Stichprobenverteilung = Streuung der Mittelwerte aus einzelnen Stichprobe = zeigt, mit welcher Wahrscheinlichkeit ein Ergebnis erwartet werden kann
Unterschiede der Stichprobenverteilung zur Häufigkeitsverteilung - Werte der Verteilung müssen nicht der Skala entsprechend (da sie Mittelwerte sind) - Y-Achse: Anzahl der Stichproben / Wahrscheinlichkeit - Werte in der Mitte kommen häufigst vor (da Mittelwerte der Studien), Randwerte eher selten
theoretische Stichprobenverteilung = Verteilung aufgrund Ergebnisse einer Stichprobe --> durch deren Kennwerte wird die Stichprobenverteilung am PC simuliert
zentraler Grenzwert = Verteilung einer großen Anzahl von Stichproben folgt immer der Normalverteilung
Vorteil von steigender Stichprobengröße Streuung der Stichprobenverteilung sinkt
Kennwerte von Stichprobenergebnisse der Inferenzstatistik - Kennwerte der Lage und Streuung (Mittelwert) - Kennwerte bzgl. Unterschied zwischen Gruppen (Mittelwertsunterschiede) - Kennwerte, die Zusammenhang zwischen Variablen beschreiben (Korrelation)
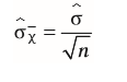
Standardfehler s(e) = Standardfehler des Mittelwertes = Standard-abweichung der Stichprobenverteilung = durchschnittlicher Unterschied zwischen den geschätzten Mittelwert einzelner Stichproben und dem tatsächlichen Mittelwert
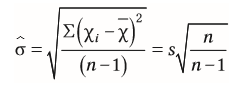
Populationsstreuung = Formel für SD in der Population = exaktere Schätzung als mit der Formel für den Standardfehler
Konfidenzintervalle / Vertrauensintervalle = Wertebereich, bei dem wir darauf vertrauen, dass sich der wahre Wert in der Population mit der Vertrauenswahrscheinlichkeit deckt
Vertrauenswahrscheinlichkeit = gewünschte Güte des Intervalls
Konstruktion des Konfidenzintervall 1. Vertrauenswahrscheinlichkeit festlegen 2. Stichprobe und Mittelwert erheben 3. Stichprobenverteilung konstruieren 4. Fläche der Vertrauenswahrscheinlichkeit markieren 5. Werte die über und unter der Fläche von 4. werden abgeschnitten
Festlegung der Vertrauenswahrscheinlichkeit - Vertrauenswahrscheinlichkeit kann beliebig festgelegt werden, sollte aber nicht zu hoch sein, da sonst die Aussage ihren Wert verliert Normal: 90, 95, selten 99 %
Vorteil des Konfidenzintervalls - Wahrscheinlichkeit der Güte einer Schätzung ist vorstellbar Aber: nur Aussage über die Wahrscheinlichkeit der Korrektheit des Intervalls möglich
Alternative Möglichkeit zur Erstellung der Konfidenzintervalle - große Stichprobe (ab 30 P.): Standardnormalverteilung - kleine Stichprobe: t-Verteilung
t-Verteilung - Mittelwert 0 - Streuung 1 - Form ist abhängig von der Stichprobengröße - symmetrische Verteilung
Notwendige Werte für die t-Verteilung - Freiheitsgrade
Freiheitsgrade (df) = Werte, die in einem statistischen Ausdruck frei variieren können
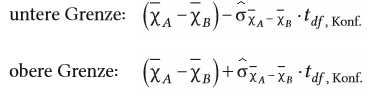
Berechnung der oberen und unteren Grenze des Konfidenzintervalls mittels der t-Verteilung bei Mittelwerten
Vorteil von größeren Stichproben bei Konfidenzintervallen - informativer Aussage, da die Grenzen des Intervalls näher zusammen rücken
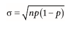
Standardfehler bei Anteilen 1. Stichprobenverteilung bestimmen --> Binomialverteilung (bei zwei Ausprägungen) 2. Standardabweichung bestimmen (definiert durch n und Wahrscheinlichkeit p)
Risiken bei Hypothesentesten - Verallgemeinerung auf die Population - Effekte entstanden durch Zufall -> nicht übertragbar auf Population
vertrauensvolle Verallgemeinerung - Berechnung von Standardfehler - Berechnung von Konfidenzintervallen - Durchführung von Signifikanztests
Abhängige Messungen - Messwiederholungen: within-subject-design: Personen durchlaufen beide Tests - gepaarte Stichproben: matching: Versuchsgruppen werden konstant gehalten, d.h. vergleichbare Personen in Gruppe 1 und 2
unabhängige Messungen = jede Messung wird in jeweiliger Stichprobe vorgenommen - Between-subject-Design: Teilnehmer werden randomisiert und so den verschiedenen Versuchsgruppen zugeordnet
Art der Messung bei Zusammenhangshypothesen abhängige Messung --> es müssen beide Variablen an beiden Gruppen untersucht werden um Messwerte beiden Variablen zuordnen zu können und Streudiagramm erstellen zu können
Standardfehler - s(e) - bei Hypothesentesten (Zusammenhänge & Unterschiede) ist nicht alleine aussagekräftig! Zusätzlich noch Konfidenzintervall und Signifikanztest weil: es geht um Entscheidungen treffen, und da ist s(e) alleine nicht ausreichend
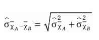
Standardfehler für Mittelwertsunterschiede bei unabhängigen Messungen = berechnet aus der Streuung der einzelnen Stichproben Berücksichtigt werden muss die Streuung jeder Stichprobe
Gesamtstreuung (Standardfehler für Mittelwertsunterschied bei unabhängigen Messungen) = Fehlerstreuung + systematische Streuung
Fehlerstreuung (Standardfehler für Mittelwertsunterschied bei unabhängigen Messungen) = Streuung ohne erkennbaren / systematischen Grund, die die Messwerte variieren lässt --> schmälert Bedeutsamkeit des gefundenen Effekts (bei großer Fehlerstreuung kann Mittelwertsunterschied auch zufällig entstanden sein) = Streuung innerhalb der Gruppe
systematische Streuung (Standardfehler für Mittelwertsunterschied bei unabhängigen Messungen) = Streuung zwischen den Gruppen = ergibt sich durch den Mittelwertsunterschied = interessanter Effekt
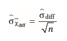
Standardfehler für Mittelwertsunterschiede bei abhängigen Messungen Differenz der Messwerte relevant = Streuung innerhalb der Person --> Durchschnitt aller Differenzen über alle Personen hinaus Differenz ist entscheidend
Streuung der Differenz (Standardfehler für Mittelwertsunterschiede bei abhängigen Messungen)
Fehlerstreuung (Standardfehler für Mittelwertsunterschiede bei abhängigen Messungen) besteht nur in der Streuung der Differenz --> Differenzen sollten gleich groß und gleiche Richtung haben. wenn nicht: Vergrößerung der Fehlervarianz --> gefundener Effekt weniger bedeutsam
Korrelationskoeffizient bei Zusammenhänge beschreibt die Enge des Zusammenhangs (r = groß --> Streuung klein)
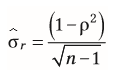
Standardfehler für Korrelationskoeffizient bei Zusammenhänge r nahe 1 /-1 führt zu Standardfehler nahe 0
Regressionsgewicht = beschreibt den relativen Einfluss einer Variable auf die andere = beschreibt den Anstieg der Regressionsgeraden aus einzelnem Regressionsgewicht kann nicht die Güte abgeleitet werden
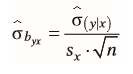
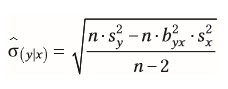
Standardschätzfehler bei der Regression wie stark streuen die Werte um die Regressionsgrade - beschreibt Ungenauigkeit wenn man Y-Werte aus X-Werte mithilfe der Regressiongeraden schätzt = Gütemaß für die Vorhersage
Berechnung des Standardfehler aus dem Regressionskoeffizienten (also aus dem Standardschätzfehler) Bezeichnung: SE
Vorteile von Konfidenzintervalle - leicht verständliche Angabe, ob Effekt durch Zufall entstand oder statistischer Bedeutung hat
Konfidenzintervalle für Mittelwertsunterschiede bei unabhängigen Stichproben - Verwendung der Stichprobenverteilung von Mittelwertsunterschieden oder die t-Verteilung
Der Wert 0 beim Konfidenzintervall für Mittelwertsunterschiede bei unabhängigen Stichproben es gibt keinen Mittelwertsunterschied in der Population --> Hypothese verwerfen Gründe: - zu hohe Vertrauenswahrscheinlichkeit - Mittelwert nahe 0 (je kleiner der Effekt desto eher wird 0 Bestandteil des Konfidenzintervalls sein)
Konfidenzintervall für Mittelwertsunterschiede bei abhängigen Stichproben Andere Formel, gleiche Interpretation wie bei unabhängigen Stichproben
Besonderheit des Korrelationskoeffizient bei Zusammenhänge t-Verteilung ist nur symmetrisch, wenn r=0 --> r > 0 -> t-Verteilung unbrauchbar, da unsymmetrische Darstellung --> Nutzung der z-Verteilung
Konfidenzintervalle für Korrelationskoeffizienten bei Zusammenhänge werden meist nicht berechnet, wenn über z-Verteilung Ablauf: Korrelationskoeffizient in z-Wert umrechnen -> kritischer Wert für Intervallgrenzen ablesen --> Grenzen berechnen (siehe Formel) --> Umrechnung auf Korrelationskoeffizient
Berechnung des Konfidenzintervall für Regressionsgewicht β bei unsymmetrischer Verteilung
Signifikanztests Entscheidungshilfe bei Hypothesen es werden Hypothesen gegeneinander getestet lässt keine Aussage über Wahrscheinlichkeit einer Hypothese zu!
Grundlage der Signifikanztests Stichprobenverteilungen (Verteilungen, die aus theoretischen Überlegungen erwachsen)
Nullhypothese (H0) = Forschungshypothese = behauptet es gibt keinen Effekt in der Population Gegenteil: Alternativhypothese (H1) --> Achtung bei Berechnung und Interpretation
Stichprobenverteilung bei der Nullhypothese Mittelwert = 0
p-Wert = Wahrscheinlichkeit des gefundenen Effekts unter der Annahme dass die Nullhypothese gilt
Irrtumswahrscheinlichkeit α / Signifikanzniveau / Alpha-Niveau = entspricht Wert bei p, ab dem man die Nullhypothese nicht mehr akzeptiert - kleinere Werte = signifikant -> Ablehnung der Nullhypothese
Alpha-Fehler = legt das Niveau der Irrtumswahrscheinlichkeit fest = Risiko die Nullhypothese fälschlicherweise abzulehnen p < α Ergebnis ist signifikant = Ablehnung der Nullhypothese
"Entstehung" des p-Wertes t-Werte der Stichprobe = Mittelwert = 0 --> entspricht Verteilung der Nullhypothese --> p-Wert aus Verteilung ablesen
Prüfverteilungen - z-Verteilung (ist einzelner Wert signifikant) - t-Verteilung (bei Mittelwertsunterschieden, Korrelationskoeffizienten und Regressionsgewichten)
einseitige Tests = Hypothese geht nur in eine Richtung - Effekt ist auf der rechten Seite der Nullhypothese zu finden schließen Alpha-Fehler auf der linken Seite aus --> müssen keinen Signifikanztest machen, wenn Kontrollgruppe höhere Werte erzielt, da Hypothese bereits widerlegt ist
zweiseitige Tests = Richtung des Effekts ist unbekannt - Effekt kann auf beiden Seiten der t-Verteilung liegen --> Alpha-Fehler muss auf beide Seiten gleich aufgeteilt werden, dadurch wird es schwerer ein signifikantes Ergebnis zu erzielen
Alternativhypothese = unterscheidet sich um die Größe des erwarteten Effekts von H0
Verteilung der Alternativhypothese theoretische Verteilung bestimmbar durch: - Größe des interessanten Mindesteffekts - Effekte aus bereits durchgeführten Studien Überschneidung mit H0
Fehler erster Art = Alpha-Fehler Nullhypothese wird fälschlicherweise verworfen / in der Population gilt H0 Interessante Teil der Verteilung: rechter Überschneidungsbereich
Fehler zweiter Art = Beta-Fehler Alternativhypothese wird fälschlicherweise abgelehnt / in der Population gilt H1 Interessante Teil der Verteilung: linker Überschneidungsbereich
Abwägung von Alpha- und Beta-Fehler Abhängig von der Fragestellung, relevant wenn Verteilungen sich stark überschneiden
Minimierung der Alpha- und Beta-Fehler - Effekt in der Population ist groß - größere Stichprobe -> Verteilung wird schmaler, geringe Überlappung
Ablauf der Signifikanztest unter Berücksichtigung der Alternativhypothese
Hybrid-Vorgehensweise = Alternativhypothese und Abwägung der Fehler erster und zweiter Art wird nicht gemacht wenn Ergebnis nicht signifikant -> H0 stimmt
Einflussgrößen auf Signifikanztests - Größe des Populationseffekts - Stichprobengröße - Alpha-Niveau
Kritik an Signifikanztests - die Größe eines Effektes in der Population kann nicht geschätzt werden --> inhaltliche Bedeutung ebenfalls nicht erkennbar -
Zusätzlich notwendige Angaben zu Signifikanztests - Konfidenzintervalle - Effektgrößen
Effektgröße = standardisierte Effekte, welche die Stichprobengröße berücksichtigen --> sind über Stichproben und Themenbereiche hinweg vergleichbar
Möglichkeiten der Berechnung der Effektgrößen - aus Rohdaten - aus anderen Effektgrößen - aus Signifikanztestergebnissen
Effektgrößen aus Rohdaten - bei unabhängigen Messungen - bei abhängigen Messungen - für Zusammenhänge (Korrelationskoeffizient)
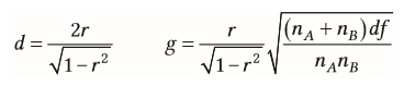
Abstandsmaß d (bei unabhängigen Messungen) repräsentieren den Abstand der Mittelwerte --> Effektgröße erhöht sich, wenn Streuung kleiner wird
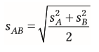
Streuung für Abstandsmaß nach Cohens (bei unabhängigen Messungen) Stichproben-streuung
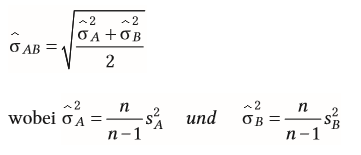
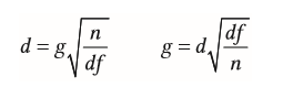
Alternative zum Abstandsmaß (bei unabhängigen Messungen) = Hedges' (g) aus Populationsstreuung liefert exaktere Schätzungen als d
Berechnung von Hedges bei unabhängigen Messungen Populationsstreuung bestimmen
Abstandsmaß d bei abhängigen Messungen
Hedges g bei abhängigen Messungen
Überführung Unterschieds- und Zusammenhangsfragen bei Effektgrößen n = ist Gesamtstichprobe Freiheitsgrade = n - k (Anzahl der Gruppen)
Berechnung Korrelation aus Abstandsmaßen nur bei gleicher Stichprobengröße
Berechnung Abstandsmaße aus Korrelation
Effektgröße aus Signifikanztestergebnissen Signifikanztestergebnis = Prüfgröße Größe der Studie = mithilfe der Freiheitsgrade
Interpretation von Effektgrößen - Abhängig von der Fragestellung - Anwendung von Konventionen
Show full summary Hide full summary

Similar

FOST 2 Deskriptive und explorative Datenanalyse
Kathy H
FOST 4 - Inferenzstatistik 2 und qualitative Methoden
Kathy H
FOST 4 - Inferenzstatistik 2 und qualitative Methoden
Vanesssa Porth
FOST 1 - Erkenntnisgewinnung und Datenerhebung in der Psychologie
Kathy H
FOST 2 Deskriptive und explorative Datenanalyse
Vanesssa Porth
FOST 4 - Inferenzstatistik 2 und qualitative Methoden
Valen Tina
FOST 2 Deskriptive und explorative Datenanalyse
Valen Tina
GPSY ALPS
Simon Wirsching
GPSY SOPS
Simon Wirsching
GPSY ALPS
hf.meyer
GPSY ALPS
jennifertittmann