FOST 2 Deskriptive und explorative Datenanalyse

Description

Wirtschaftspsychologie Psychologie Flashcards on FOST 2 Deskriptive und explorative Datenanalyse, created by Valen Tina on 31/10/2016.
Valen Tina
Flashcards by Valen Tina, updated more than 1 year ago More Less
Kathy H
Created by Kathy H about 9 years ago
Valen Tina
Copied by Valen Tina almost 9 years ago
15
4

Resource summary

Question Answer
Ziel der deskriptiven und explorativen Datenanalyse wichtigste Aussagen der Rohdaten beschreiben und grafisch darstellen
Schritte der statistischen Auswertung - deskriptive Statistik - explorative Statistik - Inferenzstatistik
deskriptive Statistik = alle Methoden zur zusammenfassenden Darstellung und Beschreibung von empirischen Daten - dazu dienen Kennwerte, Grafiken und Tabellen
explorative Statistik = Durchsuchen der Daten nach bestimmten Mustern oder Zusammenhängen - bietet sich für komplexe Daten an
statistische Kennwerte = grundlegendste & häufigste Möglichkeit zur Beschreibung von Daten - Anteile - Häufigkeiten - Lagemaße - Streuungsmaße
demografischen Daten wird in fast allen Studien erfragt, z.B. Alter, Geschlecht, Familienstand...
Anteile und Häufigkeiten = Daten in Nominalskala werden in Kategorien dargestellt (z.B. männlich, weiblich) --> dadurch entsteht die Häufigkeit (z.B. 30 von 50 etc.) Häufigkeit = nominal; Anteil = prozentual
Ratings = differenzierte Darstellung der Kategorien (Intervallskala) = Erstellen von Reihenfolge der Werte
mögliche Darstellung von Anteilen und Häufigkeiten - Zahlenwerte - Tabellen - Abbildungen (Diagramme) ,z.B. Histogramm, Kreisdiagramm
N (kursiv) Anzahl von Personen, die an der Studie teilgenommen haben / Stichprobengröße
Merkmalachse X-Achse bei der Darstellung von Häufigkeitsverteilungen - dort steht das gemessene Merkmal = kategoriale Variable, gemessen auf Nominalskala
Häufigkeitsverteilungen = Darstellung der Anzahl / Anteil von Personen, die bestimmten Messwert erzielt haben -bei der Häufigskeitsverteilung hanelt es sich um einzelne Personen
Charakterisierung der Häufigkeitsverteilung -durch Lagemaß (Mittelwert alleine ist nicht aussagekräftig genug!) - zu jedem Lagemaß muss ein Streuungsmaß angegeben sein
Lage der Verteilung = Wert, um den sich die Verteilung konzentriert
Kennwerte für die Lage der Verteilung = Lagemaße, stehen für Häufigkeitsverteilung - abhängig vom Skalenniveau: - Modalwert - Median -Mittelwert
Modalwert / Modus einer Verteilung = häufigste Merkmalsausprägung, die am häufigsten vorkommt
Median = welcher Wert liegt in der Mitte der Verteilung ->alle Werte der Größe nach aufschreiben, liegt Mitte zwischen zwei Werten, dann Mittelwerten bilden - robust gegenüber Ausreißern - erst ab Ordinalskala möglich - häufige Anwendung bei explorativer Datenanalyse
Modalwert ist nicht gleich Median bei einer unsymmetrische Häufigkeits-verteilung
Mittelwert (Summe Einzelwerte/ Gesamtwerte) - wird auf eine Nachkommastelle gerundet - häufigstes Lagemaß - Ausreißer beeinflussen M - notwendig für weitere statistische Berechnungen - steht stellvertretend für Verteilung
x (kursiv) einzelner Messwert
Vorteile Mittelwert -Mittelwert beschreibt die Daten am exaktesten -mathematische Mitte der Verteilung -bei nicht symmetrischer Verteilung Median verwenden -Mittwelwert nahe an Median & Modalwert-->symmetrische Verteilung
i (kursiv) Index (Person1, Person 2,usw.)
Unterschied der grafischen Darstellung des Mittelwerts vs. Häufigkeitsverteilung Bei grafischer Darstellung des Mittelwertes: - Merkmal auf Y-Achse - Keine Häufigkeitsverteilung , da keine Personen --> Mittelwerte entstehen aus Häufigkeitsverteilungen
Mittelwerte auf Ordinalskala sollte vermieden werden. Differenz zwischen Stufen der Ordinalskala ist nicht ersichtlich, deswegen ist Mittelwert nicht dafür geeignet
Lagemaße bei unterschiedlichen Skalenniveaus
Streuungsmaße - Spannweite (Range) - Interquartilsabstand - Varianz - Standardabweichung
Spannweite = Differenz zwischen größten und kleinsten gewählten Wert der Daten - schlechte Differenzierung zwischen unterschiedlichen Verteilungen - anfällig gegenüber Ausreißern - seltene Anwendung
Interquartilsabstand -Werte der Größe nach aufschreiben, 4 Quartile bilden, Differenz zwischen oberen & unteren Quartil bilden - besser zwischen verschiedenen Verteilungungen differenzieren -robust ggü. Ausreißern, für explorative Datenanalyse, aber keine exakte Streuungsangabe möglich
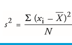
Varianz (s²) = durchschnittliche quadrierte Abweichung aller Werte vom gemeinsamen Mittelwert
Standardabweichung (s oder SD) = Wurzel aus Varianz -Varianz liefert Durchschnitt quadrierter Werte-->schwer interpretierbar, daher Wurzelziehung
bestes Streuungsmaß um die durchschnittliche Abweichung vom Mittelwert zu bestimmen Varianz und Standardabweichung (sehr genaue Differenzierung zwischen den unterschiedlichen Verteilungen)
Kennwerte = Angaben über Stichproben (z.B. Mittelwerte, SD) - lateinische Buchstaben
Parameter = Angaben über Populationen - Schätzwerte - griechische Buchstaben
Varianzaufklärung = wichtigstes Ziel der Statistik = welchen Anteil der Varianz der AV kann die UV aufklären
Fehlervarianz = Teil der Varianz, der aufgrund der natürlichen Streuung entsteht
durch UV hervorgerufene Varianz = Effekt der UV = Anteil an der Gemsatzvarianz, welcher durch die UV aufgeklärt wird, sollte möglichst gorß sein -Anteil der Fehlervarianz an der Gesamtvarianz möglichst klein
Gesetz der großen Zahlen (Jakob Bernoulli) = Je größer die Stichprobe desto eher entspricht die Häufigkeitsverteilung der Populationsverteilung --> wir vertrauen großen Stichproben mehr als kleinen (ab 30 Personen zuverlässige Werte)
unsichtbare Populationsverteilung die Populationsverteilung ist unbekannt, deswegen: große Stichprobe --> Schätzung der entsprechenden Werte in der Population
Formen der Verteilung - symmetrische Verteilung - schiefe Verteilung -unimodale Verteilung - bimodale Verteilung
schiefe Verteilung = Verteilung ist in eine Richtung eingeschränkt (systematisch) -Zufällige Abweichung durch untypische Werte oder Ausreißer -> z.B. Deckeneffekt (weiter nach oben ist nicht möglich) --> Mittelwert ist ebenfalls verzerrt
unimodale Verteilung = ein "Gipfel"/Hochwert in der Verteilung
bimodale Verteilung = Variable hat zwei Merkmalsausprägungen (Gipfel/Höchstwerte) --> Mittelwert wenig informativ, weil es keine Mitte gibt
Normalverteilung = symmetrische und unimodale Verteilung in einer Glockenform (Gauss'sche Glockenform)
Vorteil der Normalverteilung + Wissen: Merkmale sind normalverteilt --> Form der Verteilung klar --> nur noch Mittelwert und Streuung notwendig ABER: immer Normalverteilung prüfen!
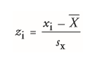
z-Transformation / z-Standardisierung = unterschiedliche Skalen auf eine Skala transformieren und so umrechnen und vergleichbar machen
Besondere an z-Transformation = standardisierte Skala Mittelwert = 0 SD = 1 -->muss für jeden Wert einzeln berechnet werden -jedem Messwert wird standarsierter z-Wert zugeordnet
z-Verteilung / Standardnormalverteilung = stellt dar wie viel Prozent über / unter dem Mittelwert sind; gibt auch Fläche der Verteilung an
grafische Datenanalyse bei der explorativen Datenanalyse - Boxplot - Stamm- & Blatt-Diagramm - Streudiagramm (Scatterplot) - Sonnenblumendiagramm - Bubble Plot - Streudiagrammmatrix (Scatterplotmatrix)
Boxplot = grafische Darstellung des Median (Strich im Kasten) und Interquartilsabstand (graue Box)
Informationen, die man aus der Boxplot zieht - Median -> deutet auch die Verteilung an - Interquartilsabstand - Ausreißer vorhanden? (mit Stern und Nummer versehen) -->Enzelne Werte weit entfernt von der Box - Whiskers
Whiskers (Barthaare) = kleinen Querstriche oben und unten des Boxplot -Interquartilsabstand * 1,5 (oben und unten der Boxplot) -Nur die Werte die außerhalb den Whiskers sind, sind Ausreißer
Vorteile von Boxplot + unverzerrte Darstellung der Rohdaten + Ausreißer identifizieren --> werden meist aus Daten entfernt um Verzerrung vom MIttelwert & Streuung zu vemeiden & weitergehende Analysen zu ermöglichen +bildet Verteilung einzelner Variablen ab +Teil explorativer Datenanalyse
Stamm- und Blatt-Diagramm (Stem & Leaf Plot) - jede Zahl bei Leaf = 1 Person * zwischen 0-4 und . 5-9 -> liegt aber im eigenen Ermessen
Streudiagramm (Scatterplot) Darstellung von zwei Variablen in einem Diagramm; 1 Person = 1 Punkt
Sonnenblummendiagramm übereinstimmende Daten werden als Sonnenblumen dargestellt; ansonsten wären identische Werte nicht ersichtlich
Bubble-Plot 3 Variablen, dritte wird in der Größe des Punktes dargestellt
Streudiagramm-Matrix (Scatterplot-Matrix) Darstellung mehrerer Variablen durch jeweilige Streudiagramme von 2 Variablen
(bivariaten) Korrelation (Francis Galton) = Ausmaß des linearen Zusammenhangs zweier Variablen -man erhält die Korrelation durch die Standerisierung der Kovarianz -Größe des Zusammenhangs in standarisierter Form ausgedrückt -bi-variant=zwei Variablen
positiv korrelierte Daten Datenpunkte folgen einer Linie & bilden linearen Zusammenhang, steigende Werte auf X-Achse &steigende Werte auf Y-Achsse
negativ korrelierte Daten - steigende Werte auf X-Achse & sinkende Werte auf Y-Achse linearer Zusammenhang, aber perfekte Datenzusammenhänge kommen in der Forschung eher nicht vor
unkorrelierende Daten Es besteht kein Zusammenhang
nicht lineare Zusammenhänge - werden nicht weiter berechnet - kurvilinearen Zusammenhänge sind nicht selten
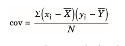
Kovarianz = zwei Variablen sind in der Ausprägung abhängig voneinander - gleiche Skala notwendig --> unterschiedliche Skala: Korrelation
Korrelationskoeffizient (Karl Person) Kovarianz unabhängig der Skala zu machen Anwendung der Streuung --> Kovarianz / Streuung beider Variablen = Korrelation (r) (Werte zwischen -1 und 1) s=Standardabweichung
Regression = Vorhersageanalyse - nutzt Korrelation, um Werte der Variable 1 (Kriterium) aus den Werten der Variable 2 (Prädiktor) hervorzusagen
Korrelationskoeffizient = Varianzaufklärung Alle Werte auf einer Geraden -> beide Variablen voneinander abhängig
Gründe für keine vollständige Gesamtvarianz - Messfehler -fehlerhafte Messinstrumneter (Fragebögen, Tests) - Varianz korreliert nicht nur mit einer Variable sondern mit mehreren
Interpretation von Korrelation nach Cohen (Faustregel)
Voraussetzungen für Korrelationsberechnung - intervallskalierte Daten oder dichotome Variablen - linearer Zusammenhang (mithilfe eines Streudiagramms prüfen)
Korrelation vs. Kausalität Korrelation lässt keine Rückschlüsse auf inhaltliche Kausalität zu
mögliche Zusammenhänge zwischen Variablen (kein inhaltlicher Zusammenhang) - X ruft Y hervor - Y ruft X hervor - Zusammenhang zwischen X und Y wird durch Z bedingt (=Scheinkorrelation) -Viele Storche (X) = viele Babys (Y) --> Drittvariable Z (Anzahl d. Regentage) steckt dahinter
Wichtigkeit von Experimenten für die Forschung = aus experimentell gewonnene Daten berechnete Korrelation lassen Kausalschlüsse zu
dichotome Variablen = Variable hat zwei Ausprägungen
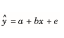
Regressionsgerade Bestimmung der Gerade: - Gerade beliebig in Punktewolke legen - Abweichungsquadrat bestimmen (Abstand der Punkte zur Geraden vertikal messen & quadrieren) - Quadratsumme bilden (Abweichungsquadrat aller Punkte) - Gerade anpassen bis die Quadratsumme so gering wie möglich ist
Vorhersagefehler / Residuum / Residualwert = Differenz zwischen Schätzung und wahrem Y-Wert; = Abweichungen auf Y von der Regressionsgerade --> ist nicht erklärbar --> Y-Wert ist nur eine Schätzung!
Anwendungsfelder der Regression - konkrete Werte einer Variable vorherzusagen - Enge des Zusammenhangs & Güte der Vorhersage (durch Korrelationskoeffizienten r beschrieben)
Determinationskoeffizient r² = Ausmaß der Varianzerklärung von Variable Y zu Variable X = Korrelationskoeffizient ² -kann max. 1 betragen-->entspricht Varianzaufklärung von 100% -direkte Beziehung zum Schätzfehler
einfache lineare Regression = schätzt den Wert einer Person mithilfe der Ausprägung einer Prädiktorvariable auf einer Kriteriumsvariable - beruhen auf bivariater Korrelation
Werte der Regression - β (Beta-Gewicht) = r (bei bivariater Korrelation) - r² (Determinations-Koeffizient) -b=Regressionsgewicht-->Anstieg der Gerade
Allgemeines zu Varianz und Standardabweichung -Spannweite & Interquartilsabstand--> nur einzelene Werte einbezogen -exaktes Streuungsmaß ermöglichen Varianz & Standardabweichung-->wie gut repräsentiert der Mittelwert die Verteilung -beziehen sich konkret auf Mittelwert -->wie weit weichen alle Werte in der Verteilung im Durchschnitt von ihm ab
Berechnung der Varianz im Detail -Von jede Wert xi wird der Mittelwert aller Daten X abgezogen -all diese Differenzen werden quadriert & aufsummiert -die Summe wird durch die Stichprobengröße N geteilt
Allgemeines zur Standardabweichung -werden zwei Stellen nach dem Komme gerundet -im Sinne der Maßeiheit lassen sich die Rohdaten interpretieren
Der Sinn der Streuungsmaße -1- -da man nicht weiss, wie die Verteilung aussieht, werden stellvertretend Kennwerte angegeben -Kennwerte erhalten wir durch Lage- & Streuungsmaße
Mittelwert und Streuungsmaß -Zu jedem Mittelwert sollte ein Streuungmaß angegeben werden, da der Mittelwert sonst nutzlos ist -Je kleiner die Streuung, desto besser
Zusmmenhang Mittelwert, Varianz und SD -zu jedem Mittelwert sollte die Varianz & Standardabweichung angegeben werden--> Hinweis, wie gut der Mittelwert die Daten der Vertelung repräsentiert -Stichprobe= Ausschnitt aus der Population
Stichprobengröße -nach oben durch ökonomische Gesichtspunkte begrenzt: --> mehr Personen=mehr Kosten & mehr Mitarbeiter & mehr Zeit -deshalb sind Stichprobengrößen von 30-100 Personen ausreichend
Boxplot- Ablesen der Daten -untere Ende der Box=untere Quartil -obere Ende der Box=obere Quartil -Höhe der Box=Auskunft über Streuung
Stamm- und Blatt-Diagramm Allgemeines -Verteilung einzelner Variablen mit allen Rohwerten -jeder Person taucht in der Abbildung mit konkreten Werten auf-->kein Informationsverlust -dient Erkennen von schiefen & untypischen Verteilungen -Teil explorativer Datenanalyse
Stamm- und Blatt-Diagramm -Diagramm beginnt mit d. Stamm (Stem)--> gibt Einheit an - Zahlen, die vor Komma stehen, werden an den Stamm geschrieben (z.B. 0,5-5,6) -dahinter ist jede Person als Blatt (Leaf) vertreten-->mit Wert hinter dem Komma
Streudiagramm im Detail -Darstellung von Zusammenhänge zwischen zwei Variablen -jede Person= 1 Punkt,wo sich ihre Werte auf beiden Variablen kreuzen -alle Punkte zusammen, bilden die Punktewolke -Teil der explorativen Datenanalyse
Sonnenblumendiagramm im Detail -Darstellung von Zusammenhängen von zwei Variablen-->Verteilung erstreckt sich in die Breit, nicht in die Höhe -Angabe d. Personenanzahl, die sich hinter einem Punkt verbirgt -->für jede Person wird eine Blüte dargestellt
Bubble-Plot im Detail =Zusammenhang der Variable z.B. soziale Kompetenz mit den beiden anderen Variablen -Je größer ein Kreis,desto stärker d. Ausprägung, z.B. soziale Kompetenz
Streudiagramm-Matrix (Scatterplot-Matrix) im Detail -überblickmäßige Darstellung einzelner Streudiagramme -Betrachtung von zwei Veriablen--> 3 Zusammenhänge: Variable 1&2, 1 &3 ,2& 3 -Erhalt von 3 Diagrammen, die in einer Matrix dargestellt werden -Matrix= symmetrisch (Betrachtung obeneren rechten Teils ausreichend)
Kovarianz = Ausmaß des linearen Zusammenhangs zweier Variablen in nicht standarisierter Form -Ausmaß, in welchem zwei Variablen gemeinsam variieren (bzw. abhängig von einander sind oder zusammen schwanken)
Sinn der Regressionsrechnung -Sinn der Regressionsrechung= Schätzungen für alle möglichen X-Werte zu machen -Gerade ist die beste Schätzung für die Vorhersage von Y-Werten-->Gerade repäsentiert alle Punkte im Durchschnitt bestmöglich
Regressionsgleichung berechnen -durch zwei Größen bestimmt: Schnittpunkt mit Y-Achse (a), Steigung (b) -(e)= Schätzfehler -durchschnittlicher Schätzfehler= Quadratsummer geteilt durch N
Determinationskoffoeffizient r² im Detail -r²= 64 -->Varianzaufklärung von 64%; 64% von Führungserfolg durch Intelligenz aufgeklärt -36% auf Messfehler & andere Einflussvariablen zurückzuführen -r²=1 --> Schätzfehler= 0, kein Risiduen
Show full summary Hide full summary

Similar

FOST 4 - Inferenzstatistik 2 und qualitative Methoden
Kathy H
FOST 4 - Inferenzstatistik 2 und qualitative Methoden
Vanesssa Porth
FOST 1 - Erkenntnisgewinnung und Datenerhebung in der Psychologie
Kathy H
FOST 3 - Inferenzstatistik
Kathy H
FOST 3 - Inferenzstatistik
Valen Tina
FOST 2 Deskriptive und explorative Datenanalyse
Vanesssa Porth
FOST 4 - Inferenzstatistik 2 und qualitative Methoden
Valen Tina
GPSY ALPS
Simon Wirsching
GPSY SOPS
Simon Wirsching
GPSY ALPS
jennifertittmann
GPSY ALPS
hf.meyer