Prozentrechnung

Description

5. Klasse Mathematik Flashcards on Prozentrechnung, created by Michael Gatt on 04/11/2016.
Michael Gatt
Flashcards by Michael Gatt, updated more than 1 year ago
Michael Gatt
Created by Michael Gatt almost 9 years ago
52
1

Resource summary

Question Answer
Def.: Grundwert das Ganze
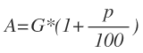
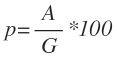
Grundwert
Prozentsatz
Prozentwert bzw. -anteil
Def.: KeSt Kapitalertragssteuer (Steuer, die der Staat auf die Zinsen einhebt)
Zinsrechnung K ... Kapital n ... Anzahl der Jahre p ... Zinssatz
Def.: effektiver Zinssatz Der effektive Zinssatz ist der Zinssatz weniger der KeSt.
Vermehrung bzw. Verminderung mit dem Änderungsfaktor bzw. statt (1+p/100) (1-p/100)
1. Binomische Formel (a+b)²=a²+2ab+b²
2. Binomische Formel (a-b)²=a²-2ab+b²
3. Binomische Formel (a+b)*(a-b)=a²-b²
Show full summary Hide full summary

Similar

Mathe Quiz
JohannesK
Statistik Theorie
Clara Vanessa
Prozentrechnung
Michael Gatt
Mathe Themen
barbara91
Stochastik
barbara91
Mathe Themen Abitur 2016
henrythegeek
Vektorendefinition
Sinan 2000
Themen der Vektorrechnung II
Paula Raithel
Grundlagen der Stochastik - Zusammenfassung
Flo Rian
Exponentielle Wachstums- und Abnahmevorgänge
Sinan 2000
[Mathematik] Grundlagen für BOS T12 (Bayern)
Marcel Pabst