Epi I: Beschreibung durch Maßzahlen

Description

- A2 (Epidemiologie) Flashcards on Epi I: Beschreibung durch Maßzahlen, created by Mitra Shadloo on 23/12/2016.
Mitra Shadloo
Flashcards by Mitra Shadloo, updated more than 1 year ago
Mitra Shadloo
Created by Mitra Shadloo almost 9 years ago
8
0

Resource summary

Question Answer
Nenne zwei Lokalisationsmaße und ihre Funktion? Arithmetischer Mittelwert Median (Zentralwert) Sie Kennzeichnen den "Durchschnitt"
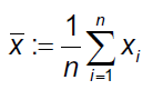
Was ist der arithmetische Mittelwert? x = Summer aller Werte/Anzahl aller Werte
Was für einen Nachteil hat der arithmetische Mittelwert? Er wird stark von Ausreißern beeinflusst!
Was ist der Median? Was ist der Vorteil des Medians? Liegt in der Mitte aller beobachteten Werte. Die eine Hälfte der Werte liegt über ihm und die anderen Hälfte liegt unter ihm. Er ist gegen Ausreißer in der Regel unempfindlich.
Nenne vier Streuungsmaße und ihre Funktion: Spannweite, Varianz, Standardabweichung und Quartilsabstand Geben die Streuung der Messwerte an.
Was ist die Spannweite (Variationsbreite)? Was ihr Nachteil? Differenz zwischen dem höchsten und dem niedrigsten Wert, z. B. 28 Tage - 8 Tage = 20 Tage. Sie wird von Ausreißern sehr stark beeinflusst. R = xmax - xmin
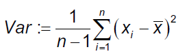
Was ist die Varianz (s2)? s2 = Summer Abweichungsquadrate/ Zahl aller Messwerte -1. Leicht von Ausreißern beeinflusst.
Was ist die Standardabweichung (s)? Quadratwurzel der Varianz, dieselbe Maßeinheit wie die Messwerte. Leicht von Ausreißern beeinflusst.
Was ist der Quartilsabstand? Was ist der Vorteil? Der Bereich mit den mittleren 50% der Werte - umfasst die mittleren beiden Quartile (25. und 75. Perzentil). Wird von Ausreißern praktisch nicht beeinflusst.
Wie berechnet man ihn? Differenz zwischen dem 3. Quartil (75%-Perzentil) und dem 1. Quartil (25%-Perzentil)
Show full summary Hide full summary

Similar

Urlaub und Reisen
JohannesK
Englisch Lernwortschatz A1-C1 Teil 1
Chiara Braun
Englisch Lernwortschatz A1-C1 Teil 2
Chiara Braun
Spielst du Fußball?
Nadja Blust
Französisch Grund- und Aufbauwirtschaft A1-B2 Teil 1
Chiara Braun
Französisch Grund- und Aufbauwortschatz A1-C1 Teil 4
Chiara Braun
Kennen Wissen Können
jubecker89
Englisch Lernwortschatz A1-C1 Part 5
Chiara Braun
Französisch Grund- und Aufbauwortschatz A1-B2 Teil 2
Chiara Braun
Indefinido oder Perfekt? (Teil 1)
Hary
Englisch Lernwirtschaft A1-C1 Part 6
Chiara Braun