AG 3.4 Geraden

Description

Matura Mathematik (Algebra und Geometrie) Flashcards on AG 3.4 Geraden, created by Mathe Queen on 07/02/2017.
Mathe Queen
Flashcards by Mathe Queen, updated more than 1 year ago More Less
Hanna Klampfl
Created by Hanna Klampfl almost 9 years ago
Mathe Queen
Copied by Mathe Queen over 8 years ago
3
0

Resource summary

Question Answer
Wie können Geraden beschrieben werden? Parameterdarstellung Normalvektordarstellung Allgemeine Gleichung Funktionsgleichung
Wie sieht die Parameterdarstellung einer Gerade aus? X=P+t*g
Warum heißt die Darstellung so? Aufgrund von "t" (=Parameter)
Welche Punkte kann man mit dieser Darstellung beschreiben? Die Punkte, die auf der Gerade liegen
Wie sieht die Normalvektorform einer Geraden aus? n*X=n*P
Warum heißt die Darstellung so? Vektor steht im rechten Winkel (normal) zur Gerade
Welche Punkte kann man mit dieser Darstellung beschreiben? Punkte die man zu einem Normalvektor verbindet
Wie sieht die Allgemeine Geradengleichung aus? ax+by=c
Was ist gesucht, wenn nach der Gleichung einer Geraden gefragt wird? Der Normalvektor
Wie kommt man von der Parameterdarstellung zur Normalvektorform? Normalvektor zu Richtungsvektor suchen
Wie kommt man von der Normalvektorform zur Parameterdarstellung? 1. Allgemeine Gleichung bilden 2. Punkt b suchen 3. Normalvektor in Richtungsvektor umwandeln
Welche Lagen können zwei Geraden in der Ebene zueinander haben? Ident, parallel, schneidend
Wie kann man man die Lage zweier Geraden in der Ebene bestimmen? Wenn parallel/ ident gilt: g*r=h Bei ident gilt:
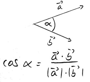
Wie berechnet man den Schnittwinkel?
Wie berechnet man den Schnittpunkt? 1) Man stellt ein lineares Gleichungssystem auf 2) In Geradengleichung einsetzten
Was ist der Normalabstand eines Punktes von einer Geraden? Kleinste Entfernung von einem Punkt zur Gerade
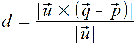
Wie berechnet man ihn?
Wie berechnet man den Normalabstand zw. zwei Geraden?
Show full summary Hide full summary

Similar

Mathe Quiz
JohannesK
Statistik Theorie
Clara Vanessa
Lage von 2 Geraden im Raum bestimmen
Vivien Stl
Mathe Themen
barbara91
Stochastik
barbara91
Mathe Themen Abitur 2016
henrythegeek
Vektorendefinition
Sinan 2000
Funktionen Einführung und Geradenfunktionen
Tahir Celikkol
Stochastik
elouasdi98
Themen der Vektorrechnung
Paula Raithel
Geometrie
Tahir Celikkol