Berechnung von Nullstellen

Description

Hier findet ihr ein Folienset zum Thema Nullstellen. Diese Berechnung gilt bei einigen Funktionen. Hab diese erstellt zur Vorbereitung meiner bevorstehenden Schulaufgabe. Zum "abfragen" von Formeln und welche Berechung zu welcher Funkt. passt , hab ich noch Karteikarten erstellt (Folgt bald). Viel Erfolg xoxo
Dana Gerlach
Slide Set by Dana Gerlach, updated more than 1 year ago
Dana Gerlach
Created by Dana Gerlach over 8 years ago
86
1

Resource summary

Slide 1

    Thema: Berechnung von Nullstellen
    > Arten von Funktionen > Fragestellungen> Die Vorbereitung> Die Berechnungarten         > Ausklammern, Mitternachtsformel, Substitution, Polynomdivision> Die Fallunterscheidung> Die Nullstellen (Lösung) + Vielfachheiten > Das Skizzieren             > Grenzwerte            > Symmetrieverhalten

Slide 2

    > Arten von Funktionen
    > lineare Funktionen f(x) = mx + t        > z. B.: f(x) = 4x + 8 quadratische Funktionen f(x) = ax² + bx + c         > z. B.: f(x) = x² + 2x - 9 ganz rationale Funktionen  f(x) = ax³ + bx² + cx + d            > z. B.: f(x) = x³ + 7x - 89x² - 1

Slide 3

    > Fragestellungen

Slide 4

    > Die Vorbereitung
    Die Angaben betrachten (= Gesucht u. Definitionsbereich!)  Prüfen wie viele Nullstellen es gibt (ganzrat. Funkt. n-ten Gerades haben höchstens n-verschiedene NST; z. B. n = x³ (höchster Expo.) -> es gibt 3 NST Prüfen ob NST schon abzulesen Die Gleichung 0 setzen f(x) = 0

Slide 5

    > Die Berechnungsart - Ausklammern
    Ausklammern (o. Parameter) Die Vorbereitung. Prüfe ob in jedem Faktor ein X vorhanden ist!  Frage dich was am sinnvollsten auszuklammern ist. (x oder x²)     Betrachte das Ausgeklammerte; d. h.                                   f(x) = x(...)  -> 1. einfache NST: 0                                                 f(x) = x²(...) -> 1. doppelte NST: 0            Finde heraus welche Berechnungsart an dem sich neu ergebenem Term geeignet ist (der in der Klammer) an,    d. h. f(x) = x(x² + 8x + 3)   Wende deine gewählte Berechnung an (hier: Mitternachtsformel; Fo.: 5) Zeige die Nullstellen auf die sich durch die MNF ergeben haben und vergesse dabei nicht Schritt 3! (Lösung; Fo.:10) Fertig! (Ein Beispiel findet ihr links)  

Slide 6

    Mitternachtsformel Die Vorbereitung. Prüfe ob x² und x vorhanden sind! (z. B. f(x)= x² + 8x + 3 Bestimme A-B-C! (Tipp: neben dran schreiben!) Rechne -b + die Wurzel und -b - die Wurzel aus. !ACHTUNG! unter der Wurzel ein Minus = KEINE LÖSUNG! !ACHTUNG! unter der Wurzel eine 0 = EINE DOPP. NST! Zeige die NST auf die sich durch die MTN ergeben! (Lösung Fo.: 10)  Fertig! (Ein Beispiel + die MNF findet ihr links)
    > Die Berechnungsart - Mittern.-Formel

Slide 7

    > Die Berechnungsarten - Substitution
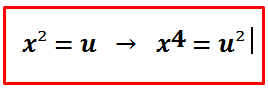
    Substitution Die Vorbereitung Substitution Prüfe ob x^4 und x² im Term vorhanden sind Ersetze x^4 durch u² und x² durch u Berechne mit diesem Term die Nst (u1 und u2) mit der MNF Resubstitution Setze u1 und u2 in x² oder x^4 gleich. Ziehe die Wurzel und die NST ergeben sich. Zeige die NST auf die sich durch das Wurzel ziehen ergeben. (

Slide 8

    > Die Berechnungsarten - Polynomdivision
    Polynomdivision (o. Parameter)Polynomdivision (m. Parameter)

Slide 9

    > Die Fallunterscheidung

Slide 10

    > Die NST (Lösung) + Vielfachheiten

Slide 11

    > Das Skizzieren
Show full summary Hide full summary

Similar

Mathe Quiz
JohannesK
Statistik Theorie
Clara Vanessa
Mathe Themen
barbara91
Stochastik
barbara91
Funktionen Einführung und Geradenfunktionen
Tahir Celikkol
Mathe Themen Abitur 2016
henrythegeek
Vektorendefinition
Sinan 2000
Stochastik
elouasdi98
Themen der Vektorrechnung
Paula Raithel
Geometrie
Tahir Celikkol
Themen der Vektorrechnung II
Paula Raithel