CAMPO MAGNÉTICO

Description

Interración líneas
BRYAN  JACOME BAUTISTA
Mind Map by BRYAN JACOME BAUTISTA, updated more than 1 year ago
BRYAN  JACOME BAUTISTA
Created by BRYAN JACOME BAUTISTA almost 10 years ago
254
0

Resource summary

CAMPO MAGNÉTICO
  1. CAMPO MAGNÉTICO
    1. Definición
      1. Es una descripción matemática de la influencia magnética de las corrientes eléctricas y de los materiales magnéticos. El campo magnético en cualquier punto está especificado por dos valores, la dirección y la magnitud; de tal forma que es un campo vectorial.
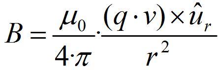
      2. Ecuación
        1. Unidades de medida
        2. LINEAS DE FUERZA EN EL INTERIOR DEL CAMPO MAGNÉTICO
          1. Lineas de campo
            1. Se extienden a partir de un polo
              1. Rodean el imán y regresan al otro polo
                1. Nos alejamos del imán las líneas mas espaciadas
                  1. Menor intensidad de campo
                2. Dirección
                  1. Fuera del imán
                    1. Va del polo norte al polo sur
                    2. Intensidad de campo mayor donde líneas próximas entre sí
                      1. Los polos
                  2. BIBLIOGRAFIA
                    1. R.FEYNMAN, R.B.LEIGHTON y M.SANDS: "Física, Vol. II. Electromagnetismo y Materia", Addison-Wesley Iberoamericana, México 1987
                    Show full summary Hide full summary

                    Similar

                    Campo magnético
                    Diego Santos
                    Campo magnético
                    diego9j
                    Cadena de Custodia....
                    Erika Navarro Viera
                    Inducción electromagnética
                    diego9j
                    Campo magnético
                    Victor Rodriguez
                    Glosario: Geometría básica
                    Rosario SantiagoPuga
                    CAMPOS SEMÁNTICOS con A-...
                    Ulises Yo
                    LA TEORIA DEL CAMPO
                    Karla Rubi Gonza
                    HORTICULTURA
                    arval1456
                    CAMPO MAGNÉTICO Y LÍNEAS DE FUERZA
                    Andres Ayala
                    Dibujo Proyectivo
                    Alexa Ortiz Castaño