Metodología PERT-CPM

Description

metodo pert mapa mental tarea
Fernando HM
Mind Map by Fernando HM, updated more than 1 year ago
Fernando HM
Created by Fernando HM about 10 years ago
393
0

Resource summary

Metodología PERT-CPM
  1. PERT
    1. Sipone una Distribución
      1. Considera tiempos
        1. Más probable
          1. Pesimista
            1. Optimista
          2. Pasos
            1. Calcular los tiempos
              1. Ruta critica
                1. Obtener la Media y Varianza
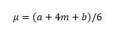
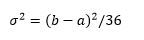
                  1. Formulas
                    1. Media
                      1. Varianza
                  2. Aplicaciones
                    1. Incertidumbre en las duraciones
                      1. Proyectos de investigacion
                        1. Desarrollo de proyectos de expansión
                        2. Program Evaluation and Review Technique
                          1. Herramientas que lo manejan
                            1. Microsoft Project
                              1. WinQSB
                                1. Excel
                                2. Ventajas y Desventajas
                                  1. Ventajas
                                    1. Proyectos grandes
                                      1. Camino crítico claro
                                        1. Calculo de probabilidades
                                          1. Distribucion normal
                                            1. Distribucion Normal Estandar
                                          2. Desventajas
                                            1. Graficos complejos
                                              1. Inexactitud en la prediccion
                                          3. CPM
                                            Show full summary Hide full summary

                                            Similar

                                            CUESTIONARIO PERT/CPM
                                            Eduardo Castro
                                            Gestión hospitalaria. Macrogestión, mesogestión y microgestión
                                            Paty Valdez
                                            A walk to Mexico
                                            krizta diaz
                                            Método PERT
                                            gerard.phanie
                                            Método CPM
                                            gerard.phanie
                                            METODO PERT
                                            Kati “Cup of tea
                                            recursos digitales
                                            lopezgaiborpatri
                                            Dilucidación de conceptos básicos
                                            seyrack_cda
                                            ADVERBIOS FRECUENCIA
                                            Patricia Cardenas
                                            Primer Encuesta
                                            Omar Victoria