Fuerza experimentada por cargas móviles en presencia de un campo magnético

Description

Mind Map on Fuerza experimentada por cargas móviles en presencia de un campo magnético, created by gvillabueno on 02/24/2014.
gvillabueno
Mind Map by gvillabueno, updated more than 1 year ago
gvillabueno
Created by gvillabueno over 11 years ago
57
0

Resource summary

Fuerza experimentada por cargas móviles en presencia de un campo magnético
  1. Fuerza sobre una carga móvil
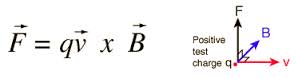
    1. Viene definida por la Fuerza de Lorentz
      1. En el caso de que la partícula este bajo influencia de dos campos, uno eléctrico y otro magnético se aplica la expresión general de la fuerza de Lorentz
      2. La carga puede llevar diferentes movimientos en función de su velocidad y el campo presente.
        1. Velocidad paralela al campo
          1. En este caso la fuerza total es cero, (ya que V y B forman 0 grados) con lo que la partícula adquirirá un MRU
          2. Velocidad perpendicular al campo
            1. En este caso la fuerza es perpendicular a la velocidad con lo que la partícula adquiere un MCU cuyo radio depende de la masa, carga, velocidad y campo magnético.
            2. La velocidad forma cierto ángulo con el campo.
              1. Al descomponer la fuerza, esta tendrá dos componentes, una paralela al campo y otra perpendicular a este. De esta manera la componente paralela llevara un MRU y la perpendicular un MCU, que combinados ambos dan el movimiento helicoidal
          3. Fuerza magnetica sobre un conductor rectilineo.
            1. Se aplica la ley de Laplace
              1. Siendo L la longitud, B el valor del campo e I la intensidad que atraviesa el conductor
              2. Cuando hay dos conductores, el valor del campo es el que ejerce el uno sobre el otro. Si ambos conductores tienen mismo sentido las fuerzas son de atracción
              3. Momento de fuerzas magnéticas sobre un circuito
                1. Par de fuerzas M=I*S*B
                  1. Y dentro de el par de fuerzas esta el momento magnético que es: I*S
                Show full summary Hide full summary

                Similar

                Campo magnético
                Diego Santos
                Campo magnético
                Victor Rodriguez
                CANTIDADES VECTORIALES
                oscar sinisterra
                Mapa mental Magnetismo
                Aura Judith Juarez Siney
                Campo magnético
                manuel Lopez
                Campo magnético
                mari__bel
                Campo magnético
                Ruben bonill
                Campo magnético
                Nicolas Lopez
                GALERIA DE COMANDO
                cesar eusebio lujan