Algebra - Expanding Brackets

Description

By: Madeleine Pramoedya
Madeleine Pramoedya
Mind Map by Madeleine Pramoedya, updated more than 1 year ago
Madeleine Pramoedya
Created by Madeleine Pramoedya about 10 years ago
33
1

Resource summary

Algebra - Expanding Brackets
  1. Expanding with terms outside a bracket
    1. To expand this expression you must multiply every term inside the bracket by the terms outside.
      1. 3y(4-2y) = 12y-6y^2
    2. Expanding with negative terms outside a bracket
      1. When there is a negative term outside the bracket, the signs of the multiplied terms change.
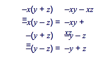
        1. -a(2a^2-3a+1) = -2a^3+3a^3-a
          1. In General:
        2. Expanding then simplifying
          1. When expanding then simplifying, you must multiply out the brackets and then collect together the like terms.
          2. Squaring expressions
            1. Example: (3m+2n)^2 = 9m^2+12mn+4n^2
              1. In General:
              2. The difference of two squares
                1. Example: (2a+7)(2a-7) = 4a^2-49
                  1. In General:
                    1. After we expand and simplify a difference of two squares expression the two middle terms cancel out.
                    2. Expanding two brackets
                      1. To expand or multiply this expression we multiply every term in the first bracket and every term in the second bracket.
                        1. Example:
                        Show full summary Hide full summary

                        Similar

                        Algebra 2 Quality Core
                        Niat Habtemariam
                        Pythagorean Theorem Quiz
                        Selam H
                        GCSE Maths Symbols, Equations & Formulae
                        Andrea Leyden
                        GCSE Maths: Algebra & Number Quiz
                        Andrea Leyden
                        GCSE Maths Symbols, Equations & Formulae
                        livvy_hurrell
                        Algebraic & Geometric Proofs
                        Selam H
                        Geometry Vocabulary
                        patticlj
                        Mathematics A - Edexcel - GCSE - Paper 1 November 2014 1MA0/1H Theory
                        Josh Anderson
                        Using Formulas
                        grace0448
                        GCSE Maths: Understanding Pythagoras' Theorem
                        Micheal Heffernan
                        All AS Maths Equations/Calculations and Questions
                        natashaaaa