null
Sign In
Sign Up for Free
Sign Up
We have detected that Javascript is not enabled in your browser. The dynamic nature of our site means that Javascript must be enabled to function properly. Please read our
terms and conditions
for more information.
Next up
Copy and Edit
You need to log in to complete this action!
Register for Free
7209910
Geraden
Description
Mind Map on Geraden, created by Hanna Klampfl on 07/12/2016.
No tags specified
6. klasse
Mind Map by
Hanna Klampfl
, updated more than 1 year ago
More
Less
Created by
Hanna Klampfl
almost 9 years ago
46
0
0
Resource summary
Geraden
Darstellungsformen
Parameterdarstellung
X=P+t*g
Normalvektordarstellung
n*X=n*P
Allgemeine gleichung
Funktionsgleichung
Lage
Ident
Parallel
Schneidend
Wechseln zwischen den Darstellungsformen
Parameterdarstellung- Normalvektordarstellung
Normalvektor zu Richtungsvektor suchen
Normalvektordarstellung- Parameterdarstellung
Allgemeine Gleichung aufstellen /Richtungsvektor zu Normalvektor bilden/Punkt P suchen
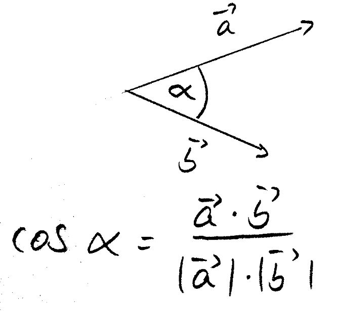
Schnittwinkel berechnen
Normalabstand
Media attachments
7e2c0957-170f-45ed-a7b5-808b1b4e546b (image/jpg)
Show full summary
Hide full summary
Want to create your own
Mind Maps
for
free
with GoConqr?
Learn more
.
Similar
AG 3.4 Geraden
Hanna Klampfl
Berechnung von Nullstellen
Dana Gerlach
Lage von 2 Geraden im Raum bestimmen
Vivien Stl
AG 3.4 Geraden
Mathe Queen
Browse Library