null
US
Sign In
Sign Up for Free
Sign Up
We have detected that Javascript is not enabled in your browser. The dynamic nature of our site means that Javascript must be enabled to function properly. Please read our
terms and conditions
for more information.
Next up
Copy and Edit
You need to log in to complete this action!
Register for Free
4607139
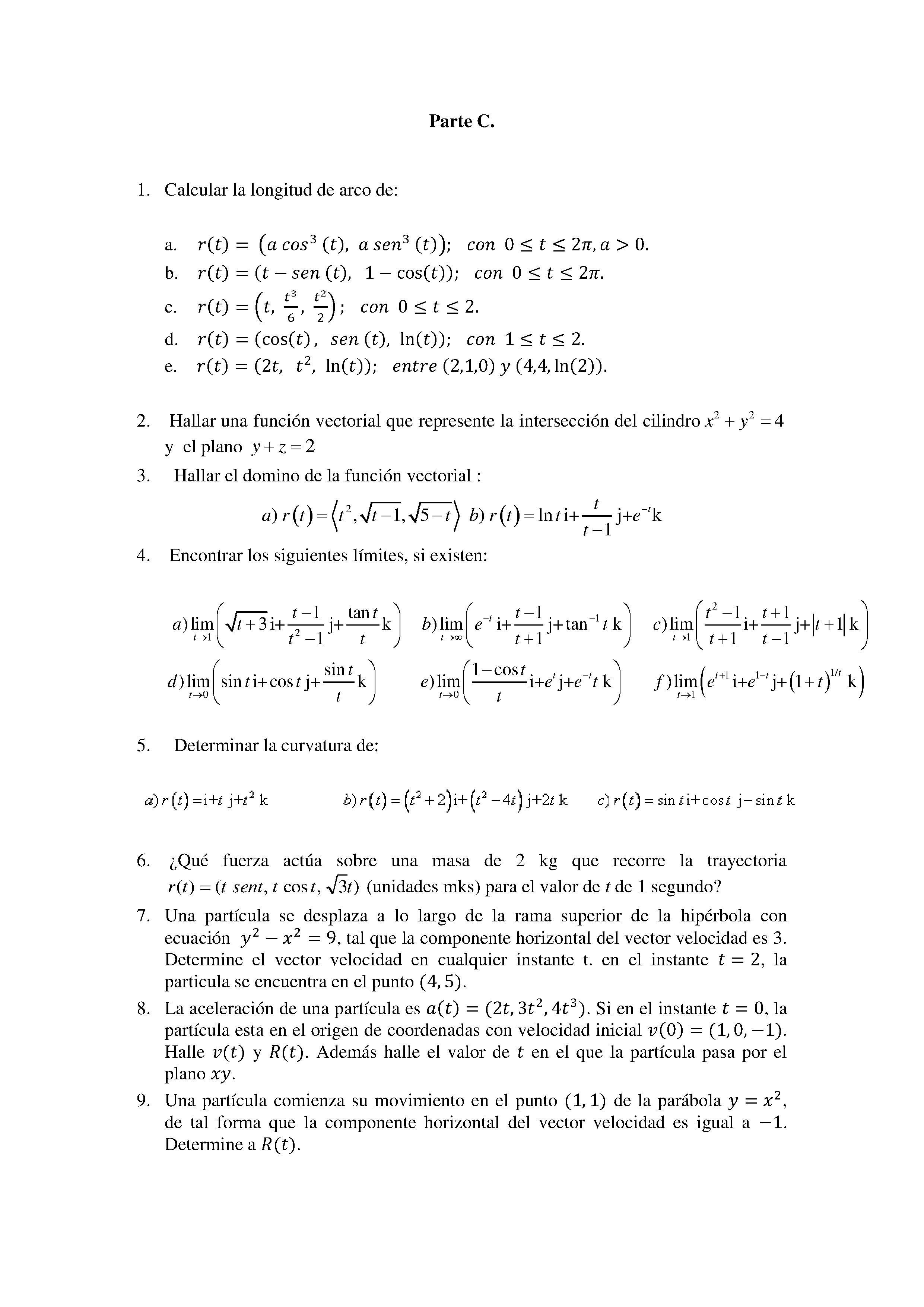
Taller de Funciones Vectoriales
Description
Taller para complementar el tema de funciones vectoriales.
No tags specified
funciones
ecuación vectorial
paramétricas
matemáticas
espacio
matemáticas 3
evaluaciones
pruebas
Note by
José William Montes Ocampo
, updated more than 1 year ago
More
Less
Created by
José William Montes Ocampo
almost 10 years ago
146
1
0
Resource summary
Page 1
a0ec8e67-edce-4858-b7cc-72604f9327f4 (image/jpg)
10a9e08a-a561-4101-b2b8-590c6aa77423 (image/jpg)
4a62b90d-b13f-4d67-a40b-0e6bc98c70b6 (image/jpg)
6a38e4bc-0cd0-4af9-9dc6-8435a5d98904 (image/jpg)
Show full summary
Hide full summary
Want to create your own
Notes
for
free
with GoConqr?
Learn more
.
Similar
FUNCIONES MULTIVARIABLES
Jarumy cecilia Sánchez Hernández
Problemas de Ingenio
Andrea Pan
Primera Evaluación de Trigonometria
José William Montes Ocampo
Evaluación de Limites
José William Montes Ocampo
Funciones Matemáticas
Larisa Hinojosa
2.6 Funciones Matemáticas
Larisa Hinojosa
Test de Funciones
José William Montes Ocampo
Prueba de Funciones
José William Montes Ocampo
Tipos de funciones
Toni Zavala
Interés Simple
Sofía Valdés
Presentación de Historia
Rafael Abel Ortiz Campos
Browse Library