EQAO MC Algebra

Description

Created by @MathwithMonkeys
Math with Monkeys
Quiz by Math with Monkeys, updated more than 1 year ago
Math with Monkeys
Created by Math with Monkeys over 10 years ago
211
3

Resource summary

Question 1

Question
Bob is thinking of a number. He adds 15 to his number and finds the result is four times his number. Suppose x is Bob's number. Which equation is always true?

Question 2

Question
Eric and Julie are each asked to solve an equation. Who has correctly solved his or her equation?
Answer
  • Eric only
  • Julie only
  • Both Eric and Julie
  • Neither of them

Question 3

Question
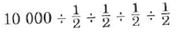
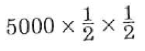
Asha receives $10 000. Asha keeps half his money and gives the rest to Bertha. Bertha keeps half her money and give the rest to Calvin. Calvin keeps half his money and gives the rest to Dane. Dane keeps half his money and gives the rest to Evanna. Which expression shows the dollar amount of money that Evanna receives from Dane?

Question 4

Question
Tim shows the steps he took in simplifying the following algebraic expression. In which step did Tim make an error?
Answer
  • step 1
  • step 2
  • step 3
  • step 4

Question 5

Question
Simplify the following expression: 3x ( 2x + 3 ) - 5x

Question 6

Question
Which of the following represents the expression 2 ( 3x + 4) + 3 ( x - 1 ) in simplified form?
Answer
  • 9x + 3
  • 9x + 5
  • 8x + 8
  • 8x + 11

Question 7

Question
Simplify the following expression.

Question 8

Question
Sabeeta expands and simplifies the expression below. Which expression is equivalent to the original?

Question 9

Question
Each side of a cube is 2y cm long. What is the volume of the cube?

Question 10

Question
The expression below can be simplified. Which of the following shows the expression in its simplest form?
Show full summary Hide full summary

Similar

Algebra 2 Quality Core
Niat Habtemariam
Pythagorean Theorem Quiz
Selam H
GCSE Maths Symbols, Equations & Formulae
Andrea Leyden
GCSE Maths: Algebra & Number Quiz
Andrea Leyden
GCSE Maths Symbols, Equations & Formulae
livvy_hurrell
Geometry Vocabulary
patticlj
Algebraic & Geometric Proofs
Selam H
Mathematics A - Edexcel - GCSE - Paper 1 November 2014 1MA0/1H Theory
Josh Anderson
Using Formulas
grace0448
GCSE Maths: Understanding Pythagoras' Theorem
Micheal Heffernan
All AS Maths Equations/Calculations and Questions
natashaaaa