null
US
Sign In
Sign Up for Free
Sign Up
We have detected that Javascript is not enabled in your browser. The dynamic nature of our site means that Javascript must be enabled to function properly. Please read our
terms and conditions
for more information.
Next up
Copy and Edit
You need to log in to complete this action!
Register for Free
4423571
Prueba de Funciones y Derivadas
Description
Pruebas Matemáticas 3 (Evaluaciones) Quiz on Prueba de Funciones y Derivadas, created by José William Montes Ocampo on 03/02/2016.
No tags specified
funciones
derivadas
matemáticas 3
evaluaciones
pruebas
Quiz by
José William Montes Ocampo
, updated more than 1 year ago
More
Less
Created by
José William Montes Ocampo
over 9 years ago
49
0
0
Resource summary
Question 1
Question
En la figura se presenta la gráfica de la función f. Cuál es el rango de la función f ?
Image:
95572759-3629-422b-925a-e688a6a9338f (image/png)
Answer
Todo los Reales
[-1,1)
{-1,1}
Todo R - {- 1}
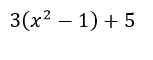
Question 2
Question
Lea y responda la siguiente pregunta:
Image:
5a2ed765-8ca1-4148-8e05-3ecab87b4620 (image/png)
Answer
Image:
44c2aaca-c6db-4738-809f-d884d0c5fc79 (image/png)
Image:
e08781a8-d6fc-463b-b3cb-fec01d0e101d (image/png)
Image:
a11f60e5-835f-4d30-863e-db79ad4d4009 (image/png)
Image:
bb0d5374-d74b-4a82-9ea3-76411acbbf06 (image/png)
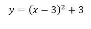
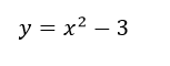
Question 3
Question
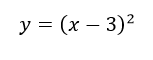
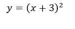
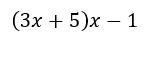
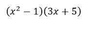
La figura dada representa una parábola. Cuál es la ecuación de dicha parábola?
Image:
2c28d8bf-b463-40c1-a1f2-a447fb329834 (image/png)
Answer
Image:
cf74ac35-d046-4fc9-a0dd-5ee0127f3d4a (image/png)
Image:
7d8df349-3f0a-4807-9864-e9d21dc62374 (image/png)
Image:
ec244754-3e37-4cc8-802b-23358ac061ae (image/png)
Image:
dbae5b3b-a6f1-470b-b220-08a980faf51f (image/png)
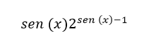
Question 4
Question
Lea y responda lo de la imagen:
Image:
ccbe27a4-6da7-4420-85a9-118ee71545bf (image/png)
Answer
Image:
2a871250-2cfb-4b3a-a819-8017df56b984 (image/png)
Image:
6b6f39a6-8ef2-40bb-96ee-089b0432a7c7 (image/png)
Image:
dfd40b16-7b81-480f-903f-db604f0265a6 (image/png)
Image:
aae0120d-7e3c-4ba2-99d6-4ddcd8fe27e9 (image/png)
Question 5
Question
Para la gráfica de la función f dada, indique el enunciado que es verdadero.
Image:
fe6d12ce-fec5-4270-842f-48c01cf2b264 (image/png)
Answer
f es continua en su dominio
El limite cuando x se acerca a 2 de f no existe
El limite cuando x tiende a 1 de f es 2
f es derivable en R - { 0, 1, 2 }
Question 6
Question
La pendiente de la recta tangente a la curva y = sen (x) en el punto (π, 0) es:
Answer
- 1
π
0
1
Show full summary
Hide full summary
Want to create your own
Quizzes
for
free
with GoConqr?
Learn more
.
Similar
FUNCIONES MULTIVARIABLES
Jarumy cecilia Sánchez Hernández
derivadas de sumas, restas, productos y cocientes de funciones
FRANCISCO OLIVAS MARQUEZ
Test de Funciones
José William Montes Ocampo
Primera Evaluación de Trigonometria
José William Montes Ocampo
Prueba de Funciones
José William Montes Ocampo
Evaluación de Limites
José William Montes Ocampo
Tipos de funciones
Toni Zavala
Prueba Diagnóstico Precálculo
Caroll Cuellar
MODELO DE LAS FUNCIONES CEREBRALES COMPLEJAS
Natali E Martz
AGENCIA DE VIAJES
Neyla Vargas
Taller de Relaciones y Funciones
José William Montes Ocampo
Browse Library