null
US
Sign In
Sign Up for Free
Sign Up
We have detected that Javascript is not enabled in your browser. The dynamic nature of our site means that Javascript must be enabled to function properly. Please read our
terms and conditions
for more information.
Next up
Copy and Edit
You need to log in to complete this action!
Register for Free
4437426
Prueba Corta
Description
Realizar prueba.
No tags specified
matematicas
bases
prueba
algebra
aritmetica
matemáticas 1
2. evaluaciones de diferentes temas
pruebas
Quiz by
José William Montes Ocampo
, updated more than 1 year ago
More
Less
Created by
José William Montes Ocampo
almost 10 years ago
467
2
0
Resource summary
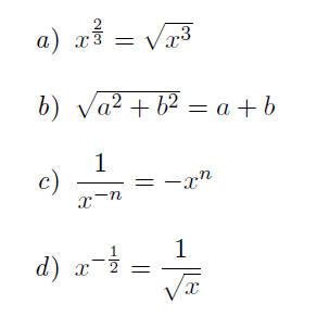
Question 1
Question
En la imagen dada, de las igualdades que se presentan, cuál es la verdadera.
Image:
8487bebc-808c-4359-8611-978ac0d29590 (image/png)
Answer
a)
b)
c)
d)
Question 2
Question
Lea y responda lo que aparece en la imagen:
Image:
87f0e1ab-972b-46fb-8673-225c0de120e7 (image/png)
Answer
d)
c)
b)
a)
Question 3
Question
Según la imagen de la figura dada:
Image:
96961aa9-c2bf-4bdd-bfd6-64e73c30e7a1 (image/png)
Answer
b)
a)
d)
c)
Question 4
Question
Lea y responda lo que aparece en la imagen dada:
Image:
871d8b9c-336f-4850-bc47-a3ead4f3b577 (image/png)
Answer
a)
b)
c)
d)
Question 5
Question
Lea y responda a partir de la imagen dada:
Image:
322eed20-ba74-40c3-9b4d-fabdd51a4821 (image/png)
Answer
d)
c)
b)
a)
Show full summary
Hide full summary
Want to create your own
Quizzes
for
free
with GoConqr?
Learn more
.
Similar
Acids and Bases
silviaod119
GCSE Maths Symbols, Equations & Formulae
Andrea Leyden
GCSE Maths: Algebra & Number Quiz
Andrea Leyden
GCSE Maths Symbols, Equations & Formulae
livvy_hurrell
Using Formulas
grace0448
GCSE Maths: Understanding Pythagoras' Theorem
Micheal Heffernan
All AS Maths Equations/Calculations and Questions
natashaaaa
AS level Maths Equations to Remember
Gurdev Manchanda
Trigonometry, Equations, Pythagoras theorem
Caitlin Mortlock
Transforming Graphs
james_hobson
A-level Maths: Key Differention Formulae
humayun.rana
Browse Library