null
US
Sign In
Sign Up for Free
Sign Up
We have detected that Javascript is not enabled in your browser. The dynamic nature of our site means that Javascript must be enabled to function properly. Please read our
terms and conditions
for more information.
Next up
Copy and Edit
You need to log in to complete this action!
Register for Free
4456848
Prueba de Superficies
Description
Prueba corta del manejo básico de las superficies.
No tags specified
matematicas
calculo
superficies
graficas
3d
espacio
matemáticas 3
evaluaciones
pruebas
Quiz by
José William Montes Ocampo
, updated more than 1 year ago
More
Less
Created by
José William Montes Ocampo
almost 10 years ago
289
1
0
Resource summary
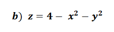
Question 1
Question
Para la superficie de la figura dada, la ecuación que la representa es:
Image:
bb8f5878-20cc-4052-82ed-480e95754928 (image/png)
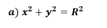
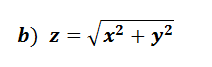
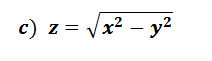
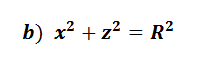
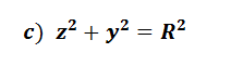
Answer
Image:
2d494b2e-d03e-4b9d-aefe-da116dffa962 (image/png)
Image:
f8ec78d9-cc12-412f-8f65-3ba26b1c3d09 (image/png)
Image:
062c9e53-73ca-4fdb-aff7-3a598e48116a (image/png)
Image:
b4b6819e-24e4-41c9-99a8-31f0d8e41aff (image/png)
Question 2
Question
La Gráfica dada representa una superficie. Que variables aparecen en su ecuación?
Image:
6b3e4714-c15d-4360-a3fc-9283fb072d00 (image/png)
Answer
XYZ
YZ
XY
ZX
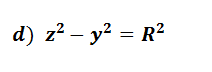
Question 3
Question
La Gráfica dada representa una superficie. La ecuación que la representa es:
Image:
98095e91-da6a-4663-8f73-9eda7b270bad (image/png)
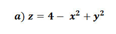
Answer
Image:
a230e0be-2dea-4ad9-bc2e-0e43e3de20cd (image/png)
Image:
d0700b7e-672f-4180-a800-ae9a244cbe7d (image/png)
Image:
3011b899-7fb9-4638-a64a-76df964744a4 (image/png)
Image:
301d5e8e-ccde-4af1-8e31-4c9c9e7f3c7a (image/png)
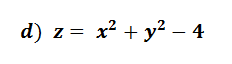
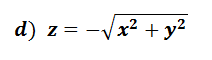
Question 4
Question
La Gráfica dada representa una superficie. La ecuación que la representa es:
Image:
c879094a-49ee-4ef1-a824-0d5aed128299 (image/png)
Answer
Image:
c747f4cf-3838-4733-9cf1-0f683a0cd43d (image/png)
Image:
57ae2a2d-3a5a-4ca3-8dfb-350b95eba361 (image/png)
Image:
01c4078b-96d1-452f-8261-8dbe3333afe0 (image/png)
Image:
3ca572a2-e8d7-4c51-9a31-02aef13fa0e9 (image/png)
Question 5
Question
Para la Superficie de la figura conocida como la Silla de Montar. Cuál es la variable de su ecuación que es lineal?
Image:
2155c1ec-0bcd-477e-9654-8ac601ed410e (image/png)
Answer
X
Y
Z
Show full summary
Hide full summary
Want to create your own
Quizzes
for
free
with GoConqr?
Learn more
.
Similar
LEY DE SIGNOS, LEYES DE LOS EXPONENTES, JERARQUÍA DE OPERACIONES Y PROPIEDADES DE LAS FRACCIONES
José Carlos Rodríguez Mejía
Prueba de Integrales
José William Montes Ocampo
Quiz de Matematicas
Juanc480
Tipos de funciones
Toni Zavala
FUNCIONES MULTIVARIABLES
Jarumy cecilia Sánchez Hernández
Prueba de la Recta y la Circunferencia
José William Montes Ocampo
Prueba Corta
José William Montes Ocampo
Presentación de Historia
Rafael Abel Ortiz Campos
Conceptos y Algoritmos del Cálculo Diferencial
Valeria Díaz2827
FIGURAS GEOMÉTRICAS Y SUS CARACTERÍSTICAS
Yarely Delgado
Prueba Diagnóstico Precálculo
Caroll Cuellar
Browse Library