q1

Description

qa
Rachel Sprague
Quiz by Rachel Sprague, updated more than 1 year ago
Rachel Sprague
Created by Rachel Sprague about 9 years ago
140
0

Resource summary

Question 1

Question
During which test process activity of the Fundamental Test Process do you evaluate the testability of the requirements?
Answer
  • Test planning and control
  • Evaluating exit criteria and reporting.
  • Test implementation and execution.
  • Test analysis and design

Question 2

Question
Select all of the statements that describe common test metrics: a.Percentage of work done in test case preparation. b.Defect information. c.Number of lines of code. d.Dates of test milestones.
Answer
  • a, b and d
  • a, b and c
  • a, c and d
  • b, c and d

Question 3

Question
Which of the following types of defects does use case testing help uncover? a.Defects in the process flows during real-world use of the system. b.Defects in individual components. c.Integration defects caused by the interaction and interference of different components. d.Defects in the system as it transitions between one state and another.
Answer
  • c and d
  • b and c
  • a and b
  • a and c

Question 4

Question
Where is the outline of a test summary given?
Answer
  • IEEE 928
  • IEEE 1028
  • IEEE 829
  • IEEE 1044

Question 5

Question
A system includes password protected data input. The data input screen first requires the user to enter a valid password containing from 6 – 12 characters, including at least 1 numerical character. No data can be input by the user until a valid password has been supplied. Entry of a non-valid password generates an error message and an opportunity to try again. A test case has been written to address the password validation and a test procedure must now be designed for that test case. Which of the following test procedures will be the MOST effective for a manual tester who is unfamiliar with the system?
Answer
  • Input ‘abcdef’ then input data.
  • Input ‘abcdef’, acknowledge error message, input data.
  • Input ‘opensesame12’, acknowledge error message, input data.
  • Input ‘abcdef’, acknowledge error message, input ‘opensesame12’, input data.

Question 6

Question
Which of the following statements characterise exploratory testing? a.Testing is carried out within time boxes. b.A useful approach where there are inadequate specifications. c.Tests are derived based on structure of the code. d.Is a complementary technique to structured testing.
Answer
  • b and c
  • a, b and d
  • a and d
  • a, c and d

Question 7

Question
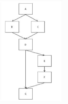
The above diagram represents the following paths through the code: a.vwy. b.vwz. c.vxy. d.vxz. What is the MINIMUM combination of paths required to provide full statement coverage?
Answer
  • a only
  • a, b and d
  • a, b, c and d
  • a, c and d

Question 8

Question
A programme level Master Test Plan states that a number of best practices must be adopted for its project life cycle models, irrespective of whether a sequential or iterative-incremental approach is adopted for by each project. Which of the following life cycle related best practices would you expect to see in the Master Test Plan? a.Each test level has its own, specific, test objectives. b.Each project should have four test levels when adopting the V-model. c.Test analysis and design for a test level should start before its corresponding development activity is complete. d.System testing must not be performed by the development teams.
Answer
  • a and b
  • a and c
  • b and d
  • c and d

Question 9

Question
A bank offers a number of current accounts based on the balance held on a continuous basis as follows: Balance above 0 but below £1500 – Ordinary Account. Balance at least £1500 but below £4500 – Premium Account. Balance at least £4500 but below £5600 – Platinum Account. Balance at least £5600 – Special Account. (Units are in pounds) Which of the following values are boundary values?
Answer
  • £1499, £1500, £4499, £5599.
  • £1500, £4499, £5602, £5700.
  • £4500, £5599, £5600, £5605.
  • £1499, £1500, £4499, £5605.

Question 10

Question
Given the following state transition table: Which of the test cases below will cover the following series of state transitions: S1 – S0 – S1 – S2 – S0
Answer
  • D, A, B, C
  • A, B, C, D
  • D, A, B
  • A, B, C

Question 11

Question
Which one of the following is true?
Answer
  • Functional testing is only performed at System Test level and Structural testing is only performed at Component Test level.
  • Functional testing is based on interoperability of features and is therefore best performed at Acceptance Test level.
  • Structural testing is based on the function of a component and is therefore best performed at System Test level.
  • Functional and Structural testing can be performed at any test level.

Question 12

Question
Which one of the following is a project risk?
Answer
  • The ‘buy now’ button may not work properly.
  • Customers may not be able to find information easily.
  • The website may not be ready in time for the launch.
  • The website may not be able to cope with the anticipated number of users.

Question 13

Question
A candidate sits an exam with 40 questions. To pass, the candidate must answer at least 25 questions correctly. To gain a distinction, a mark of 32 or above must be achieved. Which of these groups of exam scores fall into the same equivalence partition?
Answer
  • 30, 36, 39
  • 0, 12, 24
  • 0, 12, 25
  • 23, 24, 25

Question 14

Question
Which of the following is a scripting technique that can be used effectively with test execution tools?
Answer
  • Use of a test oracle.
  • Validation of object models.
  • Using a unit test framework.
  • Use of data-driven tests.

Question 15

Question
A system requires 100% statement and 100% decision coverage at component testing for all modules. The following module, shown in the control flow diagram below, has been tested with two test cases. Test case 1 follows the path A, B, D, E, F, G Test case 2 follows the path A, C, D, E, F, G What level of coverage has been achieved?
Answer
  • Statement coverage 100%; decision coverage 100%
  • Statement coverage 100%; decision coverage 75%
  • Statement coverage 75%; decision coverage 75%
  • Statement coverage 100%; decision coverage 50%

Question 16

Question
Which of the following would you NOT usually find on a software incident report?
Answer
  • The name and/or organisational position of the person raising the problem
  • Version of the software under test
  • Suggestions as to how to fix the problem
  • Actual and expected results

Question 17

Question
Within error guessing, there is an approach to testing called a fault attack. Which of the following BEST describes this approach?
Answer
  • A list of possible defects is created first, and tests are designed specifically to uncover these before the tests are run.
  • The tester tries to break the system by exploring as much of the system as possible in the time available.
  • The tester records steps taken to find faults as the tests are run.
  • Tests are designed using industry standard test design techniques.

Question 18

Question
Which of the following is a MAJOR task of test implementation and execution?
Answer
  • Measuring and analysing results.
  • Reporting discrepancies as incidents.
  • Identifying test conditions or test requirements.
  • Assessing if more tests are needed.

Question 19

Question
Which of the following is a purpose of the review ‘planning’ activity?
Answer
  • Log defects.
  • Explain the documents to the participants.
  • Gather metrics.
  • Allocate the individual roles.

Question 20

Question
Which of the following is correct?
Answer
  • Impact analysis assesses the effect on the system of a defect found in regression testing.
  • Impact analysis assesses the effect of a new person joining the regression test team.
  • Impact analysis assesses whether or not a defect found in regression testing has been fixed correctly.
  • Impact analysis assesses the effect of a change to the system to determine how much regression testing to do.

Question 21

Question
Which of the following are black box techniques? a.Equivalence Partitioning. b.Condition Coverage. c.Decision Testing. d.Decision Table Testing. e.Statement Testing.
Answer
  • c and d
  • a and d
  • b and e
  • a, c, and de

Question 22

Question
Which of the following is a characteristic of good testing?
Answer
  • A. For every development activity there is a corresponding test activity.
  • B. Test levels have generic objectives.
  • C. Testers should review all development documentation.
  • D. Design of tests should begin as soon as development is complete at a given level.

Question 23

Question
Which one of the following BEST describes a purpose of static testing?
Answer
  • To ensure that the system delivered will meet the customer’s requirements.
  • To ensure that compiled code does not leak memory.
  • To identify defects in the code before it is executed.
  • To prevent customers from changing the requirements.

Question 24

Question
Given the following pseudo code: READ A READ B READ C IF (A>B or A>C) THEN Print ‘A is too large’ ELSE IF (B=C) THEN Print ‘B cannot be the same as C’ ENDIF ENDIF What is the minimum number of tests which would be required for 100% statement and for 100% decision coverage?
Answer
  • 1 for statement coverage, 2 for decision coverage.
  • 2 for both statement and decision coverage.
  • 2 for statement coverage, 3 for decision coverage.
  • 3 for both statement and decision coverage.

Question 25

Question
Which of the following would NORMALLY be provided by a configuration management system? a.Incident management. b.Version control of all items of software. c.Unambiguous referencing of all identified documents and software items. d.Test estimation.
Answer
  • b and d
  • b and c
  • a and d
  • a and c

Question 26

Question
Which of the following BEST describes the purpose of structural testing?
Answer
  • It helps to measure the thoroughness of testing by measuring the percentage of code or other structural type exercised.
  • It helps to measure how reliable the system will be after release.
  • It helps to identify gaps in the requirements.
  • It helps to measure how many requirements have been tested.

Question 27

Question
Which one of the following is an objective of a pilot project when introducing a tool to an organisation?
Answer
  • To assess organisational maturity.
  • To select the requirements for the tool.
  • To make the business case for purchase.
  • To evaluate how the tool will fit with existing processes.

Question 28

Question
Which activities form part of test planning? a.Developing test cases. b.Defining the overall approach to testing. c.Assigning resources. d.Building the test environment. e.Writing test conditions.
Answer
  • a, b and d are true; c and e are false.
  • b and c are true; a, d and e are false.
  • d and e are true; a, b and c are false.
  • a, b and c are true; d and e are false.

Question 29

Question
In which phase of the Fundamental Test Process is the mission of testing verified and objectives set?
Answer
  • Test planning.
  • Test analysis and design.
  • Test implementation and execution.
  • Test closure.

Question 30

Question
Which two of the following statements BEST describe the difference between dynamic testing and debugging? a.Dynamic testing aims to identify defects. b.Dynamic testing aims to identify failures caused by defects. c.Dynamic testing aims to assess the quality of the software. d.Debugging aims to find and remove defects. e.Debugging aims to find, analyse and remove the cause of failure.
Answer
  • a and d
  • c and e
  • b and e
  • b and d

Question 31

Question
Which of the following describe the MOST common characteristics of specification based techniques? a.Test conditions and test cases may be identified from models. b.Test cases may be derived based on knowledge of previous faults. c.The order of test execution may be determined systematically. d.Models enable test cases to be derived systematically.
Answer
  • c and d
  • a and d
  • a and b
  • b and c

Question 32

Question
Given the following decision table: What is the expected result for each of the following test cases (TC1 and TC2)? TC1: Fred is a silver card holder with 10 cabin points. TC3: Carol is a premium ticket holder with no silver card and no cabin points.
Answer
  • TC1– allow use of lounge and dedicated check-in but no car; TC3 – allow dedicated check-in only.
  • TC1– allow use of lounge, car and dedicated check-in; TC3 – allow dedicated check-in only.
  • TC1– allow use of lounge only; TC3 – allow use of lounge and dedicated check-in.
  • TC1– allow dedicated check-in only; TC3 – allow dedicated check-in only.

Question 33

Question
What type of testing would be triggered by a planned upgrade to a live system’s database?
Answer
  • Beta testing.
  • Usability testing
  • Maintenance testing.
  • Debugging.

Question 34

Question
Which of the following activities would NORMALLY be undertaken during test planning? a.Defining the test levels. b.Designing test conditions. c.Controlling test progress. d.Identifying the objectives of testing. e.Determining tests data requirements. f.Defining the testing roles.
Answer
  • b, c and d
  • a, d and f
  • a, d and e
  • b, c and f

Question 35

Question
Which of the following activities should be considered before purchasing a tool for an organization? a.Conduct a proof-of concept to establish compatibility of the tool with current infrastructure. b.Retire existing toolsets to avoid potential tool conflicts. c.Assess the testing organisation’s process maturity. d.Recruit specialists with knowledge of the tool into the test team.
Answer
  • a and d
  • b and c
  • c and d
  • a and c

Question 36

Question
Which one of the following is GENERALLY true?
Answer
  • Testing can show that defects are present, not that they are absent.
  • Every effort should be made to test all combinations of inputs to a system.
  • Once test cases are written for a system, they do not need to be changed.
  • Once all defects found have been fixed, the users will accept the system.

Question 37

Question
Which one of the following BEST describes a potential benefit of independent testing?
Answer
  • An independent tester may be more objective than a developer when testing a product.
  • An independent tester may have a better understanding of how software works than a developer.
  • An independent tester may take less time to test a product than a developer.
  • An independent tester may have better communication skills than a developer.

Question 38

Question
Which two of the following would be typically found by a static analysis tool? a.That the specification has incorrectly allocated a value to variable A. b.That the code creates a variable B but does not make use of it. c.That the system does not return the expected value of variable C. d.That variable D has been incorrectly declared as an integer.
Answer
  • a and b
  • a and c
  • b and d
  • c and d

Question 39

Question
The above table shows 6 test procedures (P to U) that must now be entered into a test execution schedule. Business severity is regarded as the most important element in determining the sequence of the test procedures, but other dependencies must also be taken into consideration. Regression testing can only be run once all other tests have completed. Which of the following represents the MOST effective sequence for the test execution schedule (where the first entry in the sequence is the first procedure to be run, the second entry is the second to be run and so on)?
Answer
  • Q, S, U R T P
  • Q, T, U R, P, S
  • S, Q, U, R, T, P
  • Q, T, R, U, P, S

Question 40

Question
Which of the following are MOST likely to be considered a risk of using test tools, after successful deployment? a.Poor support from the tool’s vendor. b.The tool does not work against the current application. c.The tool does not work with the current test process. d.Over optimistic expectations of the tool’s capabilities.
Answer
  • a and d
  • b and c
  • c and d
  • a and b
Show full summary Hide full summary

Similar

How well do you know GoConqr?
Sarah Egan
Chemistry Ion Testing Quiz
Ben Botting
6. Test Management
Rachel Sprague
2. Testing Through LIfecycle
Rachel Sprague
3-4. Test Design
Rachel Sprague
7. Tool Support for Testing
Rachel Sprague
5. Static Techniques
Rachel Sprague
Testing for ions
Joshua Rees
General Knowledge Quiz
Andrea Leyden