null
US
Sign In
Sign Up for Free
Sign Up
We have detected that Javascript is not enabled in your browser. The dynamic nature of our site means that Javascript must be enabled to function properly. Please read our
terms and conditions
for more information.
Next up
Copy and Edit
You need to log in to complete this action!
Register for Free
5722475
Differenting polynomials
Description
Derivatives of simple polynomials
No tags specified
differentiating
derivatives
polynomial
maths
gcse
Slide Set by
Vivienne Holmes
, updated more than 1 year ago
More
Less
Created by
Vivienne Holmes
over 9 years ago
35
0
0
Resource summary
Slide 1
33292a26-66c3-4f24-93e6-26dcf9901f76 (image/png)
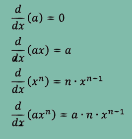
Differentiating Polynomial Functions
Caption: : So if y = x^{3} + 2x^{2} + 3x + 2, dy/dx = 3x^{2} + 4x + 3
Show full summary
Hide full summary
Want to create your own
Slides
for
free
with GoConqr?
Learn more
.
Similar
GCSE Maths Symbols, Equations & Formulae
Andrea Leyden
FREQUENCY TABLES: MODE, MEDIAN AND MEAN
Elliot O'Leary
HISTOGRAMS
Elliot O'Leary
CUMULATIVE FREQUENCY DIAGRAMS
Elliot O'Leary
GCSE Maths: Geometry & Measures
Andrea Leyden
GCSE Maths: Understanding Pythagoras' Theorem
Micheal Heffernan
Using GoConqr to study Maths
Sarah Egan
New GCSE Maths
Sarah Egan
Maths GCSE - What to revise!
livvy_hurrell
GCSE Maths Symbols, Equations & Formulae
livvy_hurrell
STEM AND LEAF DIAGRAMS
Elliot O'Leary
Browse Library