FA_2.3 Wirkung der Parameter k und d kennen

Description

Matura Mathematik Flashcards on FA_2.3 Wirkung der Parameter k und d kennen, created by Mathe Queen on 09/03/2017.
Mathe Queen
Flashcards by Mathe Queen, updated more than 1 year ago More Less
Andreas Pfister
Created by Andreas Pfister over 8 years ago
Mathe Queen
Copied by Mathe Queen over 8 years ago
9
0

Resource summary

Question Answer
Was ist k ? k ist die Steigung der Geraden
Wie kann man k aus dem Graph herauslesen? k kann im Steigungsdreieck mit den Katheten 1 und k abgelesen werden
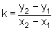
Wie berechnet man k ? k= Delta y/ Delta x
Wie bestimmt man d aus dem Graph ? d ist der Punkt an dem der Graph die y-Achse schneidet
Wie bestimmt man d aus einer Tabelle ? Dort wo der x-Wert 0 Ist
Wie zeichnet man k im Graph ein? Man nimmt einen Punkt auf dem Graph und zeichnet das Steigungsdreieck ein
Wie zeichnet man d im Graph ein? Dort wo x Null ist muss der Graph die y-Achse auf einer gewissen Höhe schneiden
Wie viele Punkte braucht es, damit man eine Gerade zeichnen kann und warum? Mindestens 2, da man einen Anfang und ein Ende braucht
Show full summary Hide full summary

Similar

Mathe Quiz
JohannesK
Statistik Theorie
Clara Vanessa
Mathe Themen
barbara91
Stochastik
barbara91
Mathe Themen Abitur 2016
henrythegeek
Vektorendefinition
Sinan 2000
Funktionen Einführung und Geradenfunktionen
Tahir Celikkol
Stochastik
elouasdi98
Themen der Vektorrechnung
Paula Raithel
Geometrie
Tahir Celikkol
Themen der Vektorrechnung II
Paula Raithel