0654 P12 Electricity & P13 Electric Circuits Quiz

Description

Quiz for 0654 Coordinated Sciences Topic 12 electricity & topic 13 Electric Circuits
Jeffrey Piggott
Quiz by Jeffrey Piggott, updated more than 1 year ago
Jeffrey Piggott
Created by Jeffrey Piggott almost 9 years ago
2336
0

Resource summary

Question 1

Question
A plastic rod and a dry cloth are uncharged. The rod is now rubbed with the cloth and they both become charged. The rod becomes negatively charged because some charged particles move from the cloth to the rod. What is the charge on the cloth and which particles moved in the charging process?
Answer
  • A
  • B
  • C
  • D

Question 2

Question
The diagram shows an incomplete circuit. Four wires of different length and thickness are connected in turn between point X and point Y. All four wires are made of the same metal. Which wire will cause the greatest reading on the ammeter?
Answer
  • long and thick
  • long and thin
  • short and thick
  • short and thin

Question 3

Question
The diagram shows a circuit containing a battery, a lamp, a switch and another component X. The switch is initially closed and the lamp is lit. The switch is now opened and the lamp remains lit for several seconds before slowly going out. What is component X?
Answer
  • a capacitor
  • a light-dependent resistor
  • a thermistor
  • a variable resistor

Question 4

Question
The diagram shows a circuit containing three lamps and three switches S1, S2 and S3. Lamp 1 and lamp 3 are lit, but lamp 2 is not lit. Which switch or switches is/are closed?
Answer
  • S1 only
  • S1 and S2
  • S1 and S3
  • S2 and S3

Question 5

Question
The diagram shows part of an electric circuit. The light falling on the light-dependent resistor (LDR) increases in brightness. What happens to the resistance of the LDR and what happens to the reading on the voltmeter?
Answer
  • A
  • B
  • C
  • D

Question 6

Question
An appliance is connected to a mains supply. Its circuit also contains a switch and a fuse. Which circuit shows the fuse in the correct position?
Answer
  • A
  • B
  • C
  • D

Question 7

Question
A small electric motor is mounted on a bench, as shown. The motor is connected to a 6.0 V supply and the current in the motor is 0.50 A. The motor is 50% efficient. What is the time taken to lift a mass of 200 g up through a height of 90 cm?
Answer
  • 0.59 s
  • 0.85 s
  • 1.2 s
  • 2.7 s

Question 8

Question
B2 and B3 are three identical lamps. They are connected to a battery with zero internal resistance, as shown. Initially the switch is closed. The switch is then opened and lamp B3 goes out. What happens to the brightness of lamps B1 and B2 when the switch is opened?
Answer
  • A
  • B
  • C
  • D

Question 9

Question
A battery is marked 9.0 V. What does this mean?
Answer
  • Each coulomb of charge from the battery supplies 9.0 J of electrical energy to the whole circuit.
  • The battery supplies 9.0 J to an external circuit for each coulomb of charge.
  • The potential difference across any component connected to the battery will be 9.0 V.
  • There will always be 9.0 V across the battery terminals.

Question 10

Question
A pencil is used to draw a line of length 30 cm and width 1.2 mm. The resistivity of the material in the pencil is 2.0 × 10^–5 Ω.m and the resistance of the line is 40 k Ω. What is the thickness of the line?
Answer
  • 1.25 × 10^–10 m
  • 1.25 × 10^–8 m
  • 1.25 × 10^–7 m
  • 1.25 × 10^–5 m

Question 11

Question
A conductor consists of three wires connected in series. The wires are all made of the same metal but have different cross-sectional areas. There is a current I in the conductor. Point Y on the conductor is at zero potential. Which graph best shows the variation of potential V with distance along the conductor?
Answer
  • A
  • B
  • C
  • D

Question 12

Question
The graph shows how the electric current I through a conducting liquid varies with the potential difference V across it. At which point on the graph does the liquid have the smallest resistance?
Answer
  • A
  • B
  • C
  • D

Question 13

Question
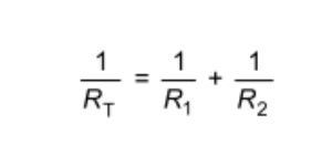
The combined resistance R T of two resistors of resistances R1 and R2 connected in parallel is given by the formula shown. Which statement is used in the derivation of this formula?
Answer
  • The currents through the two resistors are equal.
  • The potential difference across each resistor is the same.
  • The supply current is split between the two resistors in the same ratio as the ratio of their resistances.
  • The total power dissipated is the sum of the powers dissipated in the two resistors separately.

Question 14

Question
In the potentiometer circuit shown, the reading on the ammeter is zero. The light-dependent resistor (LDR) is then covered up and the ammeter gives a non-zero reading. Which change could return the ammeter reading to zero?
Answer
  • Decrease the supply voltage.
  • Increase the supply voltage.
  • Move the sliding contact to the left.
  • Move the sliding contact to the right.

Question 15

Question
Six resistors, each of resistance R, are connected as shown. The combined resistance is 66k Ω . What is the value of R?
Answer
  • 11 kΩ
  • 18 kΩ
  • 22 kΩ
  • 36 kΩ

Question 16

Question
What is the symbol for a fuse?
Answer
  • A
  • B
  • C
  • D

Question 17

Question
In the circuits shown, each of the resistors has a resistance of 1.0 Ω. Which circuit has the greatest resistance?
Answer
  • A)
  • B)
  • C)
  • D)
Show full summary Hide full summary

Similar

Know the principles of electricity
Vito Martino
Topic 5 Electricity & Magnetism
Jeffrey Piggott
Principles of basic electrical circuits
Vito Martino
IGCSE Physics Heat Transfer
Jasmine Box
Electricity
ShreyaDas
Renewable Energy Sources
darkangelforgiven
Physical Science 2nd Quarter Assessment
Selam H
Electric Circuits Quiz
Jeffrey Piggott
U10 Electric Circuits Quiz
Jeffrey Piggott
COMBINATION OF RESISTORS
Fluttery
Current Electricity
Sarah Collinson